192 KiB
		
	
	
	
	
	
	
	
			
		
		
	
	Logik
Die Logik
- versucht, gültige Argumentationen von ungültigen zu unterscheiden,
- hat Anwendungen in der Informatik,
- formalisiert die zu untersuchenden Aussagen und
- beschränkt sich auf einen wohldefinierten Teil der möglichen Aussagen => es gibt verschiedene "Logiken", z.B. "Aussagen-" und "Prädikatenlogik"
- daneben:
- temporale Logiken (Mastervorlesung "Verifikation")
- modale Logiken
- epistemische Logiken
- ...
 
 
- daneben:
Syllogismen
Aristoteles (384-322 v.Chr.) untersuchte das Wesen der Argumentation und des logischen Schließens mit dem Ziel, korrekte von inkorrekten Argumenten zu unterscheiden. Verschiedene Werke, u.a. Analytica priora, Analytica posteriora.
Aristoteles nennt die logischen Schlußfolgerungen Syllogismen (griechisch: "Zusammenrechnung").
Ein Syllogismus ist eine Aussage, in der bestimmte Dinge [die Prämissen] behauptet werden und in der etwas anderes [die Konsequenz], unumgänglich aus dem Behaupteten folgt. Mit dem letzten Satz meine ich, dass die Prämissen die Konsequenz zum Resultat haben, und damit meine ich, dass keine weitere Prämisse erforderlich ist, um die Konsequenz unumgänglich zu machen.
Beispiele
Wenn alle Menschen sterblich sind und
Sokrates ein Mensch ist,
dann ist Sokrates sterblich.
Wenn eine Zahl gerade und größer als zwei ist,
dann ist sie keine Primzahl.
Wenn die Leitzinsen hoch sind,
dann sind die Börsianer unzufrieden.
Aristoteles identifizierte einige zulässige Syllogismen, die Scholastiker fügten weitere hinzu:
(Barbara)
Alle Dackel sind Hunde                  Alle P sind M
Alle Hunde sind Tiere                   Alle M sind S
Dann sind alle Dackel Tiere             Alle P sind S
(Cesare)
Keine Blume ist ein Tier                Kein P ist M
Alle Hunde sind Tiere                   Alle S sind M
Dann ist keine Blume ein Hund           Kein P ist S
(Darapti)
Alle Delfine leben im Meer              Alle M sind P
Alle Delfine sind Säugetiere            Alle M sind S
Dann leben einige Säugetiere im Meer    Einige S sind P
Kalküle
Gottfried Wilhelm Leibniz (1646-1716) wollte korrekte von inkorrekten Argumentationsketten unterscheiden. Hierzu sollte ein Kalkül entwickelt werden, in dem alle korrekten Argumentationsketten ermöglicht sind (und keine inkorrekten).
David Hilbert (1862-1943) entwickelte solche Kalküle. Diese "Hilbertkalküle" sind sehr verschieden von üblichen Argumentationsmustern.
Gerhard Gentzen (1909-1945) entwickelte Kalküle des "natürlichen Schließens", die übliche Argumentationsmuster formalisieren.
Die Aussagenlogik
George Boole (1815 - 1864) entwickelte einen Kalkül zum Rechnen mit atomare Aussagen, die entweder wahr oder falsch sein können.
Verknüpfung durch Operatoren(und, oder, nicht, wenn-dann... ).
Die Prädikatenlogik (Ende des 19. Jahrhunderts)
Gottlob Frege (1848-1925), Giuseppe Peano (1858-1932) und Bertrand Russell (1872-1970)entwickelten die Logik zur Grundlage der Mathematik, als formale Basis für die Vermeidung von Widersprüchen. Entwicklung der Prädikatenlogik, die erlaubt:
- Beziehungen zwischen "Objekten" zu beschreiben
- existentielle Aussagen zu treffen: "es gibt ein x, so dass... "
- universelle Aussage zu treffen: "für jedes x gilt, dass... "
Logik in der Informatik
Claude Shannon (1916 - 2001) benutzt die Aussagenlogik 1937, um elektromechanische Schaltkreise zu beschreiben und zu optimieren.
Allen Newell (1927-1992), Herbert Simon (1916-2001) und Alan Robinson (1930-2016) entwickelten 1950-1960 die ersten Systeme für die Automatisierung des logischen Schließens als Werkzeug der Künstlichen Intelligenz.
- Schaltkreisentwurf: Schaltkreise lassen sich durch logische Formeln darstellen -> Entwurf und Optimierung von Schaltungen
- Modellierung und Spezifikation: Eindeutige Beschreibung von komplexen Systemen
- Verifikation: Beweisen, dass ein Programm das gewünschte Verhalten zeigt
- Datenbanken: Formulierung von Anfragen an Datenbanken -> Abfragesprache SQL (Structured Query Language)
- (klassische) Künstliche Intelligenz:
- Planung
- Mensch-Maschine Kommunikation
- Theorembeweiser: Der Computer beweist mathematische Sätze -> automatischer Beweis von wichtigen Sätzen im Bereich der Booleschen Algebren
 
- Logische Programmiersprachen
Außerdem: Logik ist ein Paradebeispiel für Syntax und formale Semantik
Edsger W. Dijkstra (1920-2002): Informatik = VLSAL (Very large scale application of logics)
Die Logik
- versucht, gültige Argumentationen von ungültigen zu unterscheiden,
- hat Anwendungen in der Informatik,
- formalisiert die zu untersuchenden Aussagen
Probleme mit natürlicher Sprache
- Problem: Zuordnung von Wahrheitswerten zu natürlichsprachigen Aussagen ist problematisch.
- Beispiele:
- Ich habe nur ein bißchen getrunken.
- Sie hat sich in Rauch aufgelöst.
- Das gibt es doch nicht!
- Rache ist süß.
 
 
- Beispiele:
- Problem: Natürliche Sprache ist oft schwer verständlich.
- Beispiel: Auszug aus der "Analytica Priora" von Aristoteles
- Die Aussage: Wenn der Mittelbegriff sich universell auf Ober- oder Untersatz bezieht, muss ein bestimmter negativer Syllogismus resultieren, immer wenn der Mittelbegriff sich universell auf den Obersatz bezieht, sei es positiv oder negativ, und besonders wenn er sich auf den Untersatz bezieht und umgekehrt zur universellen Aussage.
- Der Beweis: Denn wenn M zu keinem N gehört, aber zu einem O, ist es notwendig, dass N zu einem O nicht gehört. Denn da die negative Aussage umsetzbar ist, wird N zu keinem M gehören: Aber es war erlaubt, dass M zu einem O gehört: Deshalb wird N zu einem O nicht gehören: Denn das Ergebnis wird durch die erste Figur erreicht. Noch einmal: Wenn M zu allen N gehört, aber nicht zu einem O, ist es notwendig, dass N nichtzu einem O gehört: Denn wenn N zu allen O gehört und M auch alle N-Eigenschaften zugeschrieben werden, muss M zu allen O gehören: Aber wir haben angenommen, dass M zu einem O nicht gehört. Und wenn M zu allen N gehört, aber nicht zu allen O, können wir folgern, dass N nicht zu allen O gehört: Der Beweis ist der gleiche wie der obige. Aber wenn M alle O-Eigenschaften zugeschrieben werden, aber nicht alle N-Eigenschaften, wird es keinen Syllogismus geben.
 
- Problem:Natürliche Sprache ist mehrdeutig.
- Beispiel: "Ich sah den Mann auf dem Berg mit dem Fernrohr."
- (((Ich sah den Mann) auf dem Berg) mit dem Fernrohr)
- ((Ich sah (den Mann auf dem Berg)) mit dem Fernrohr)
- ((Ich sah den Mann) (auf dem Berg mit dem Fernrohr))
- (Ich sah ((den Mann auf dem Berg) mit dem Fernrohr))
- (Ich sah (den Mann (auf dem Berg mit dem Fernrohr)))
 
 
- Beispiel: "Ich sah den Mann auf dem Berg mit dem Fernrohr."
- Problem:Natürliche Sprache hängt von Kontext ab.
Die Beatles sind Musiker
Paul McCartney ist ein Beatle
Paul McCartney ist ein Musiker
Die Beatles sind vier
Paul McCartney ist ein Beatle
Paul McCartney ist vier
Kapitel 1: Aussagenlogik
Beispiel
Ein Gerät besteht aus einem Bauteil A, einem Bauteil B und einem roten Licht. Folgendes ist bekannt:
- Bauteil A oder Bauteil B (oder beide) sind kaputt.
- Wenn Bauteil A kaputt ist, dann ist auch Bauteil B kaputt.
- Wenn Bauteil B kaputt ist und das rote Licht leuchtet, dann ist Bauteil A nicht kaputt.
- Das rote Licht leuchtet.
Zur Formalisierung verwenden wir folgende Abkürzungen:
- RL (rotes Licht leuchtet),
- AK (Bauteil A kaputt),
- BK (Bauteil B kaputt),
- \vee(oder),
- \rightarrow(wenn, dann),
- \wedge(und) und
- \lnot(nicht).
Damit können wir unser Wissen kompakter hinschreiben:
- AK \vee BK
- AK \rightarrow BK
- (BK \wedge RL)\rightarrow \lnot AK
- RL
Aus den vier Aussagen lassen sich weitere Aussagen neue Aussagen bilden
5. Falls AK gilt, so folgt aus AK\rightarrow BK, dass BK gilt.
6. Falls BK gilt, so gilt natürlich BK.
7. Da AK \vee BK gilt, folgt aus (5) und (6), dass BK in jedem Fall gilt.
8. Es gilt auch RL.
9. Also gilt BK\wedge RL (aus (7) und (8)).
10. Es gilt auch (BK \wedge RL)\rightarrow\lnot AK.
11. Also gilt \lnot AK (aus (9) und (10)).
Damit sind wir überzeugt, dass das Bauteil A heil ist.
Den Beweis, dass das Teil A heil ist, werden wir als "Beweisbaum" formalisieren:
In der Aussagenlogik gehen wir von "Aussagen" aus, denen wir (zumindest prinzipiell) Wahrheitswerte zuordnen können.
Beispiele
- Die Summe von 3 und 4 ist 7.
- Jana reagierte aggressiv auf Martins Behauptungen.
- Jede gerade natürliche Zahl>2 ist Summe zweier Primzahlen.
- Alle Marsmenschen mögen Pizza mit Pepperoni.
- Albert Camus était un écrivain français.
- In theory, practically everything is possible.
Für diese Aussagen verwenden wir dieatomaren Formeln p,q,r bzw. p_0,p_1,...
Die Aussagen werden durch "Operatoren" verbunden. Beispiele
- ... und...
- ... oder...
- nicht...
- wenn... dann...
- entweder... oder... , aber nicht beide.
- mehr als die Hälfte der Aussagen ... gilt.
Für solche zusammengesetzten Aussagen verwenden wir \varphi,\psi usw.
Durch die Wahl der erlaubten Operatoren erhält man unterschiedliche "Logiken".
Da der Wahrheitswert einer zusammengesetzten Aussage nur vom Wahrheitswert der Teilaussagen abhängen soll, sind Operatoren wie "weil" oder "obwohl" nicht zulässig.
Syntax der Aussagenlogik
Eine atomare Formel hat die Form p_i (wobei i\in\mathbb{N}=\{0,1,...\}).
Formeln werden durch folgenden induktiven Prozess definiert:
- Alle atomaren Formeln und \botsind Formeln.
- Falls \varphiund\psiFormeln sind, sind auch $(\varphi\wedge\psi),(\varphi\wedge\psi)$(\varphi \rightarrow\psi)und $\lnot\varphi$Formeln.
- Nichts ist Formel, was sich nicht mittels der obigen Regeln erzeugen läßt.
Beispielformel: \lnot((\lnot p_4 \vee p_1)\wedge\bot)
Bezeichnungen:
- Falsum: \bot
- Konjunktion: \wedge
- Disjunktion: \vee
- Implikation: \rightarrow
- Negation: \lnot
Abkürzungen
p,q,r... statt p_0,p_1,p_2...
(\bigvee_{i=1}^n \varphi_i statt (...((\varphi_1\vee\varphi_2)\vee\varphi_3)\vee...\vee\varphi_n)
(\bigwedge_{i=1}^n \varphi_i) statt (...((\varphi_1\wedge\varphi_2)\wedge\varphi_3)\wedge...\wedge\varphi_n)
(\varphi \leftrightarrow \psi) statt ((\varphi\rightarrow\psi)\wedge(\psi\rightarrow\varphi))
Präzedenz der Operatoren:
- \leftrightarrowbindet am schwächsten
- \rightarrow...
- \vee...
- \wedge...
- \lnotbindet am stärksten
Es gilt also z.B.: (\alpha\leftrightarrow\beta\vee\lnot\gamma\rightarrow\sigma\wedge\lnot\eta) = (\alpha\leftrightarrow ((\beta\vee\lnot\gamma)\rightarrow(\sigma\wedge\lnot\eta)))
Dennoch: Zu viele Klammern schaden i.A. nicht.
Natürliches Schließen
Ein (mathematischer) Beweis zeigt, wie die Behauptung aus den Voraussetzungen folgt.
Analog zeigt ein "Beweisbaum" (= "Herleitung" = "Deduktion"), wie eine Formel der Aussagenlogik aus Voraussetzungen (ebenfalls Formeln der Aussagenlogik) folgt.
Diese "Deduktionen" sind Bäume, deren Knoten mit Formeln beschriftet sind:
- an der Wurzel steht die Behauptung (= Konklusion \varphi)
- an den Blättern stehen Voraussetzungen (= Hypothesen oder Annahmen aus \Gamma)
- an den inneren Knoten stehen "Teilergebnisse" und "Begründungen"
Konstruktion von Deduktionen
Aus der Annahme der Aussage \varphi folgt \varphi unmittelbar: eine triviale Deduktion
\varphi mit Hypothesen \{\varphi\} und Konklusion \varphi.
Folgend werden wir
- überlegen, wie aus "einfachen mathematischen Beweisen" umfangreichere entstehen können und
- parallel dazudefinieren, wie aus einfachen Deduktionen umfangreichere konstruiert werden können.
Konjunktion
Konjunktionseinführung in math. Beweisen
Ein mathematischer Beweis einer Aussage "\varphi und $\psi$" sieht üblicherweise so aus:
- "Zunächst zeige ich \varphi: ... (hier steckt die eigentliche Arbeit)
- Jetzt zeige ich \psi: ... (nochmehr eigentliche Arbeit)
- Also haben wir "\varphiund $\psi$" gezeigt. qed"
Konjunktionseinführung (ausführlich)
Ist D eine Deduktion von \varphi mit Hypothesen aus \Gamma und ist E eine Deduktion von \psi mit Hypothesen aus \Gamma, so ergibt sich die folgende Deduktion von \varphi\wedge\psi mit Hypothesen aus \Gamma:
Kurzform: \frac{\varphi\quad\psi}{\varphi\wedge\psi} (\wedge I)
Konjunktionselimination (ausführlich)
Ist D eine Deduktion von \varphi\wedge\psi mit Hypothesen aus \Gamma, so ergeben sich die folgenden Deduktionen von \varphi bzw. von \psi mit Hypothesen aus \Gamma:
Kurzform: \frac{\varphi\wedge\psi}{\varphi} (\wedge E_1) \quad\quad \frac{\varphi\wedge\psi}{\psi} (\wedge E_2)
Beispiel
Wir zeigen \varphi\wedge\psi unter der Hypothese \psi\wedge\varphi:...
Dies ist eine Deduktion mit Konklusion \varphi\wedge\psi und Hypothese \psi\wedge\varphi (zweimal verwendet).
Implikation
Implikationseinführung in math. Beweisen
Ein mathematischer Beweis einer Aussage "Aus \varphi folgt $\psi$" sieht üblicherweise so aus:
- "Angenommen, \varphigilt.
- Dann ... (hier steckt die eigentliche Arbeit).
- Damit gilt \psi.
- Also haben wir gezeigt, dass \psiaus\varphifolgt. qed"
Die Aussage \varphi ist also eine "temporäre Hypothese".
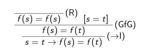
Implikationseinführung (ausführlich)
Ist D eine Deduktion von \psi mit Hypothesen aus \Gamma\cup\{\varphi\}, so ergibt sich die folgende Deduktion von \varphi\rightarrow\psi mit Hypothesen aus \Gamma:
Kurzform
$[\varphi]$
$\vdots$
\frac{\psi}{\varphi\rightarrow\psi} (\rightarrow I)
Beispiel: ... Dies ist eine Deduktion von \varphi\rightarrow\varphi ohne Hypothesen.
Implikationselimination in math. Beweisen
Ein mathematischer Beweis einer Aussage "\psi gilt" über eine Hilfsaussage sieht so aus:
- "Zunächst zeigen wir, dass \varphigilt: ...
- Dann beweisen wir, dass \psiaus\varphifolgt: ...
- Also haben wir \psigezeigt. qed"
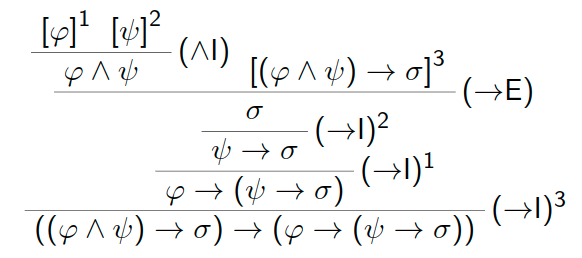
Implikationselimination oder modus ponens (ausführlich)
Ist D eine Deduktion von \varphi mit Hypothesen aus \Gamma und ist E eine Deduktion von \varphi\rightarrow\psi mit Hypothesen aus \Gamma, so ergibt sich die folgende Deduktion von \psi mit Hypothesen aus \Gamma:
Kurzform: \frac{\varphi\quad \varphi\rightarrow\psi}{\psi} (\rightarrow E)
Beispiel
Bemerkung: die Indizes 1, 2 und 3 machen deutlich, welche Hypothese bei welcher Regelanwendung gestrichen wurde. Deduktionen können recht groß werden.
Diese Deduktion hat keine Hypothesen!
Disjunktion
Disjunktionselimination oder Fallunterscheidung in math. Beweisen
Ein mathematischer Beweis einer Aussage "\sigma gilt" mittels Fallunterscheidung sieht üblicherweise so aus:
- "Zunächst zeigen wir, dass \varphi\vee\psigilt: ...
- Gilt \varphi, so gilt\sigma, denn ...
- Gilt \psi, so gilt ebenfalls\sigma, denn ...
- Also haben wir gezeigt, dass \sigmagilt. qed"
Die Aussagen \varphi und \psi sind also wieder "temporäre Hypothesen".
Disjunktionselimination oder Fallunterscheidung (ausführlich)
Ist D eine Deduktion von \varphi\vee\psi mit Hypothesen aus \Gamma, ist E eine Deduktion von \sigma mit Hypothesen aus $\Gamma\cup{\varphi}$und ist F eine Deduktion von \sigma mit Hypothesen aus \Gamma\cup\{\psi\}, so ergibt sich die folgende Deduktion von \sigma mit Hypothesen aus \Gamma:
Disjunktionselimination Kurzform:
$\quad [\psi] \quad[\varphi]$
$\quad \vdots \quad\vdots$
\frac{\varphi\vee\psi \quad\sigma \quad\sigma}{\sigma} (\vee E)
Disjunktionseinführung (Kurzform)
\frac{\varphi}{\varphi\vee\psi} (\vee I_1) \quad \frac{\psi}{\varphi\vee\psi} (\vee I_2)
Negation
Negationseinführung in math. Beweisen
Ein mathematischer Beweis einer Aussage "\varphi gilt nicht" sieht so aus:
- "Angenommen,$\varphi$gilt.
- Dann folgt 0=1, denn .... Mit anderen Worten, dies führt zu einem Widerspruch.
- Also haben wir gezeigt, dass \varphinicht gilt. qed"
Die Aussage \varphi ist also wieder eine "temporäre Hypothese".
Negationseinführung (ausführlich)
Ist D eine Deduktion von \bot mit Hypothesen aus \Gamma\cup\{\varphi\}, so ergibt sich die folgende Deduktion von \lnot\varphi mit Hypothesen aus \Gamma:
Kurzform:
$[\varphi]$
$\vdots$
\frac{\bot}{\lnot\varphi} (\lnot I)
Negationselimination (ausführlich)
Ist D eine Deduktion von \lnot\varphi mit Hypothesen aus \Gamma und ist E eine Deduktion von \varphi mit Hypothesen aus \gamma, so ergibt sich die folgende Deduktion von \bot mit Hypothesen aus \Gamma:
Kurzform: \frac{\lnot\varphi \quad \varphi}{\bot} (\lnot E)
Falsum
Hat man "$0=1$" bewiesen, so ist man bereit, alles zu glauben: ex falso sequitur quodlibet
ausführlich: Ist D eine Deduktion von \bot mit Hypothesen aus \Gamma, so ergibt sich die folgende Deduktion von \varphi mit Hypothesen aus \Gamma:
Kurzform: \frac{\bot}{\varphi} (\bot)
math. Widerspruchsbeweis
Ein indirekter Beweis einer Aussage "\varphi gilt" sieht üblicherweise so aus:
- "Angenommen, \varphigilt nicht, d.h.\lnot\varphigilt.
- Dann folgt 0=1, d.h. ein Widerspruch.
- Also haben wir gezeigt, dass \varphigilt. qed"
Die Aussage \lnot\varphi ist also wieder eine "temporäre Hypothese".
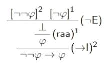
reductio ad absurdum (ausführlich)
Ist D eine Deduktion von \bot mit Hypothesen aus \Gamma\cup\{\lnot\varphi\}, so ergibt sich die folgende Deduktion von \varphi mit Hypothesen aus \Gamma:
Kurzform:
$[\lnot\varphi]$
$\vdots$
\frac{\bot}{\varphi} (raa)
Regeln des natürlichen Schließens
Definition
Für eine Formelmenge
\Gammaund eine Formel\varphischreiben wir\Gamma\Vdash\varphiwenn es eine Deduktion gibt mit Hypothesen aus\Gammaund Konklusion\varphi. Wir sagen "\varphiist eine syntaktische Folgerung von $\Gamma$".Eine Formel
\varphiist ein Theorem, wenn\varnothing\Vdash\varphigilt.
Bemerkung
\Gamma\Vdash\varphi sagt (zunächst) nichts über den Inhalt der Formeln in \Gamma\cup\{\varphi\} aus, sondern nur über die Tatsache, dass \varphi mithilfe des natürlichen Schließens aus den Formeln aus \Gamma hergeleitet werden kann.
Ebenso sagt "\varphi ist Theorem" nur, dass \varphi abgeleitet werden kann, über "Wahrheit" sagt dieser Begriff (zunächst) nichts aus.
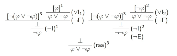
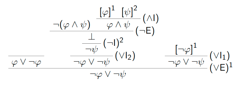
Satz
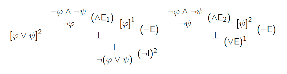
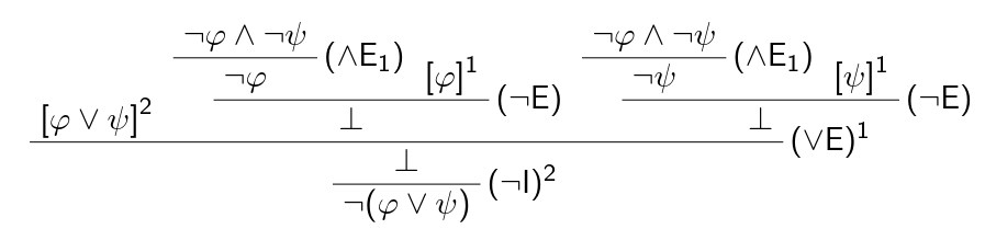
Für alle Formeln \varphi und \psi gilt \{\lnot(\varphi\vee\psi)\}\Vdash\lnot\varphi\wedge\lnot\psi.
Beweis: Wir geben eine Deduktion an...
- ${\lnot\varphi\wedge\lnot\psi}\Vdash\lnot(\varphi\vee\psi)$
 
- ${\lnot\varphi\vee\lnot\psi}\Vdash\lnot(\varphi\wedge\psi)$
 
- ${\varphi\vee\psi} \Vdash \psi\vee\varphi$
 
Satz
Für jede Formel \varphi ist \lnot\lnot\varphi\rightarrow\varphi ein Theorem.
Beweis: Wir geben eine Deduktion mit Konklusion \lnot\lnot\varphi\rightarrow\varphi ohne Hypothesen an...
Satz
Für jede Formel \varphi ist \varphi\vee\lnot\varphi ein Theorem.
Beweis: Wir geben eine Deduktion mit Konklusion \varphi\vee\lnot\varphi ohne Hypothesen an...
Bemerkung: Man kann beweisen, dass jede Deduktion der letzten beiden Theoreme die Regel (raa) verwendet, sie also nicht "intuitionistisch" gelten.
Satz
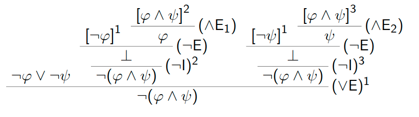
\{\lnot(\varphi\wedge\psi)\}\Vdash\lnot\varphi\vee\lnot\psi
Semantik
Formeln sollen Verknüpfungen von Aussagen widerspiegeln, wir haben dies zur Motivation der einzelnen Regeln des natürlichen Schließens genutzt. Aber die Begriffe „syntaktische Folgerung“ und „Theorem“ sind rein syntaktisch definiert.
Erst die jetzt zu definierende „Semantik“ gibt den Formeln „Bedeutung“.
Idee der Semantik: wenn man jeder atomaren Formel p_i einen Wahrheitswertzuordnet, so kann man den Wahrheitswert jeder Formel berechnen.
Es gibt verschiedene Möglichkeiten, Wahrheitswerte zu definieren:
- zweiwertige oder Boolesche Logik B=\{0,1\}: Wahrheitswerte „wahr“=1 und „falsch“= 0
- dreiwertige Kleene-Logik K_3=\{0,\frac{1}{2},1\}: zusätzlicher Wahrheitswert „unbekannt“=\frac{1}{2}
- Fuzzy-Logik F=[0,1]: Wahrheitswerte sind „Grad der Überzeugtheit“
- unendliche Boolesche Algebra $B_R$= Menge der Teilmengen von \mathbb{R};A\subseteq\mathbb{R}ist „Menge der Menschen, die Aussage für wahr halten“
- Heyting-Algebra $H_R$= Menge der offenen Teilmengen von \mathbb{R}- Erinnerung: A\subseteq\mathbb{R}offen, wenn\forall a\in A\exists\epsilon >0:(a-\epsilon,a+\epsilon)\subseteq A, d.h., wennAabzählbare Vereinigung von offenen Intervallen(x,y)ist.
 
- Erinnerung: 
Beispiele:
- offen: (0,1), \mathbb{R}_{>0}, \mathbb{R}\backslash\{0\}, \mathbb{R}\backslash\mathbb{N}
- nicht offen: [1,2), \mathbb{R}_{\geq 0}, \mathbb{Q}, \mathbb{N}, \{\frac{1}{n} | n\in\mathbb{N}\}, \mathbb{R}\backslash\mathbb{Q}
Sei W eine Menge von Wahrheitswerten.\
Eine W-Belegung ist eine Abbildung B:V\rightarrow W, wobei V\subseteq\{p_0 ,p_1 ,...\} eine Menge atomarer Formeln ist.
Die W-Belegung B:V\rightarrow W paßt zur Formel \phi, falls alle atomaren Formeln aus \phi zu V gehören.
Sei nun B eine W-Belegung. Was ist der Wahrheitswert der Formel p_0\vee p_1 unter der Belegung B?
Zur Beantwortung dieser Frage benötigen wir eine Funktion \vee_W :W\times W\rightarrow W (analog für \wedge,\rightarrow,\lnot).
Wahrheitswertebereiche
Definition: Sei W eine Menge und
R\subseteq W\times Weine binäre Relation.
- R ist reflexiv, wenn (a,a)\in Rfür allea\in Wgilt.
- R ist antisymmetrisch, wenn (a,b),(b,a)\in Rimpliziert, dassa=bgilt (für allea,b\in W).
- R ist transitive, wenn (a,b),(b,c)\in Rimpliziert, dass(a,c)\in Rgilt (für allea,b,c\in W).
- R ist eine Ordnungsrelation, wenn R reflexiv, antisymmetrisch und transitiv ist. In diesem Fall heißt das Paar (W,R)eine partiell geordnete Menge.
Beispiel
- Sei \leqübliche Ordnung auf $\mathbb{R}$undW\subseteq\mathbb{R}. Dann ist(W,\leq)partiell geordnete Menge.
- Sei Xeine Menge undW\subseteq P(X). Dann ist(W,\subseteq)partiell geordnete Menge.
- Sei W=P(\sum ∗)und\leq_pdie Relation „es gibt Polynomialzeitreduktion“ (vgl. „Automaten, Sprachen und Komplexität“). Diese Relation ist reflexiv, transitiv, aber nicht antisymmetrisch (denn3-SAT\leq_p HCundHC\leq_p_3-SAT).
Definition: Sei
(W,\leq)partiell geordnete Menge,M\subseteq Wunda\in W.
- a ist obere Schranke von M, wennm\leq afür allem\in Mgilt.
- a ist kleinste obere Schranke oder Supremum von M, wennaobere Schranke vonMist und wenna\leq bfür alle oberen SchrankenbvonMgilt. Wir schreiben in diesem Falla=sup \ M.
- a ist untere Schranke von M, wenna\leq mfür allem\in Mgilt.
- a ist größte untere Schranke oder Infimum von M, wenn a untere Schranke vonMist und wennb\leq afür alle unteren SchrankenbvonMgilt. Wir schreiben in diesem Falla=inf\ M.
Beispiel
- betrachte (W,\leq)mitW=\mathbb{R}und\leqübliche Ordnung auf\mathbb{R}.- Dann gelten sup[0,1] = sup(0,1) =1.
- sup\ Wexistiert nicht (denn- What keine obere Schranke).
 
- Dann gelten 
- betrachte (W,\subseteq)mitXMenge undW =P(X).- sup\ M=\bigcup_{A\in M} Afür alle- M\subseteq W
 
- betrachte (W,\subseteq)mitW=\{\{0\},\{1\},\{0,1,2\},\{0,1,3\}\}.- sup\{\{0\},\{0,1,2\}\}=\{0,1,2\}
- \{0,1,2\}und- \{0,1,3\}sind die oberen Schranken von- M=\{\{0\},\{1\}\}, aber- Mhat kein Supremum
 
Definition: Ein (vollständiger) Verband ist eine partiell geordnete Menge
(W,\leq), in der jede MengeM\subseteq Wein Supremumsup\ Mund ein Infimuminf\ Mhat. In einem Verband(W,\leq)definieren wir:
- 0_W = inf\ Wund- 1_W= sup\ W
- a\wedge_W b= inf\{a,b\}und- a\vee_W b= sup\{a,b\}für- a,b\in W
Bemerkung: In jedem Verband (W,\leq) gelten 0_W= sup\ \varnothing und 1_W= inf\ \varnothing (denn jedes Element von W ist obere und untere Schranke von \varnothing).
Definition: Ein Wahrheitswertebereich ist ein Tupel
(W,\leq,\rightarrow W,\lnot W), wobei(W,\leq)ein Verband und\rightarrow W:W^2 \rightarrow Wund\lnot W:W\rightarrow WFunktionen sind.
Beispiel
- Der Boolesche Wahrheitswertebereich B ist definiert durch die Grundmenge B=\{0,1\}, die natürliche Ordnung\leqund die Funktionen\lnot_B (a) = 1-a,\rightarrow_B(a,b) = max(b, 1 -a). Hier gelten:- 0_B=0,- 1_B= 1,
- a\wedge_B b= min(a,b),- a\vee_B b= max(a,b)
 
- Der Kleenesche Wahrheitswertebereich K_3ist definiert durch die GrundmengeK_3=\{0,\frac{1}{2},1\}mit der natürlichen Ordnung\leqund durch die Funktionen\lnot_{K_3} (a) = 1 -a,\rightarrow_{K_3} (a,b) = max(b, 1-a). Hier gelten:- \lnot_{K_3} = 0,- 1_{K_3} = 1
- a\wedge_{K_3} b= min(a,b),- a\vee_{K_3} b= max(a,b)
 
- Der Wahrheitswertebereich F der Fuzzy-Logik ist definiert durch die Grundmenge F=[0,1]\subseteq\mathbb{R}mit der natürlichen Ordnung\leqund durch die Funktionen\lnot_F (a) = 1-a,\rightarrow_F (a,b) = max(b, 1-a). Hier gelten:- 0_F= 0,- 1_F= 1
- a\wedge_F b= min(a,b),- a\vee_F b= max(a,b)
 
- Der Boolesche Wahrheitswertebereich B_Rist definiert durch die GrundmengeB_R=\{A|A\subseteq \mathbb{R}\}mit der Ordnung\subseteqund durch die Funktionen\lnot_{B_R} (A) =\mathbb{R}\backslash A,\rightarrow_{B_R} (A,B) = B\cup\mathbb{R}\backslash A. Hier gelten:- 0_{B_R}=\varnothing,- 1_{B_R}=\mathbb{R}
- A\wedge_{B_R} B=A\cap B,- A\vee_{B_R} B=A\cup B
 
- Der Heytingsche Wahrheitswertebereich H_Rist definiert durch die GrundmengeH_{mathbb{R}} =\{A\subseteq\mathbb{R} | \text{A ist offen}\}, die Ordnung\subseteqund durch die Funktionen\lnot_{H_R} (A) = Inneres(\mathbb{R}\backslash A),\rightarrow_{H_R} (A,B) =Inneres(B\cup \mathbb{R}\backslash A). Hier gelten:- 0_{H_R}=\varnothing,- 1_{H_R}=\mathbb{R}
- A\wedge_{H_R} B= A\cap B,- A\vee_{H_R} B=A\cup B
- Erinnerung: Inneres(A) =\{a\in A|\exists \epsilon > 0 : (a-\epsilon,a+\epsilon)\subseteq A\}
- Beispiele: Inneres((0,1))=(0,1)=Inneres([0,1]),Inneres(N)=\varnothing,Inneres(\mathbb{R}_{\geq 0}) = \mathbb{R}_{> 0}
 
Sei W ein Wahrheitswertebereich und B eine W-Belegung. Induktiv über den Formelaufbau definieren wir den Wahrheitswert \hat{B}(\phi)\in W jeder zu B passenden Formel \phi:
- \hat{B}(\bot) = 0_W
- \hat{B}(p) = B(p)falls- peine atomare Formel ist
- \hat{B}((\phi\wedge \psi )) = \hat{B}(\phi)\wedge_W \hat{B}(\psi )
- \hat{B}((\phi\vee \psi )) = \hat{B}(\phi)\vee_W \hat{B}(\psi )
- \hat{B}((\phi\rightarrow \psi )) = \rightarrow W(\hat{B}(\phi),\hat{B}(\psi ))
- \hat{B}(\lnot\phi) = \lnot W(\hat{B}(\phi))
Wir schreiben im folgenden B(\phi) anstatt \hat{B}(\phi).
Beispiel: Betrachte die Formel \phi= ((p\wedge q)\rightarrow (q\wedge p)).
- Für eine beliebige B-Belegung B:\{p,q\}\rightarrow BgiltB((p\wedge q)\rightarrow (q\wedge p)) = max(B(q\wedge p), 1 -B(p\wedge q)) = max(min(B(q),B(p)), 1 -min(B(p),B(q))) = 1 = 1_B
- Für die $K_3$-Belegung B:\{p,q\}\rightarrow K_3mit $B(p) =B(q) = \frac{1}{2}$} giltB((p\wedge q)\rightarrow (q\wedge p)) = max(B(q\wedge p), 1 -B(p\wedge q))= max(min(B(q),B(p)), 1 -min(B(p),B(q))) = \frac{1}{2} \not= 1_{K_3}
- analog gibt es eine F-Belegung B:\{p,q\}\rightarrow F, so dassB((p\wedge q)\rightarrow (q\wedge p)) \not = 1_Fgilt.
- Für eine beliebige $H_{mathbb{R}}$-Belegung B:\{p,q\}\rightarrow H_RgiltB((p\wedge q)\rightarrow (q\wedge p)) = Inneres(B(q\wedge p)\cup \mathbb{R}\backslash B(p\wedge q)) = Inneres((B(q)\cap B(p))\cup \mathbb{R}\backslash (B(p)\cap B(q))) = Inneres(\mathbb{R}) = \mathbb{R} = 1_{H_R}
Folgerung und Tautologie
Sei W ein Wahrheitswertebereich.
Eine Formel \phi heißt eine W-Folgerung der Formelmenge \Gamma, falls für jede W-Belegung B, die zu allen Formeln aus \Gamma \cup\{\phi\} paßt, gilt:
inf\{B(\gamma )|\gamma \in \Gamma \}\leq B(\phi)
Wir schreiben \Gamma \Vdash W\phi, falls \phi eine W-Folgerung von \Gamma ist.
Bemerkung: Im Gegensatz zur Beziehung \Gamma \vdash \phi, d.h. zur syntaktischen Folgerung, ist \Gamma \Vdash W \phi eine semantische Beziehung.
Eine W-Tautologie ist eine Formel \phi mit \varnothing \Vdash W\phi, d.h. B(\phi) = 1_W für alle passenden W-Belegungen B (denn inf\{\hat{B}(\gamma )|\gamma \in \varnothing \}= inf \varnothing = 1_W).
Wahrheitstafel für den Booleschen Wahrheitswertebereich B:
| RL | AK | BK | AK\vee BK | AK\rightarrow BK | (BK\wedge RL)\rightarrow\lnot AK | RL | \lnot AK | 
|---|---|---|---|---|---|---|---|
| 0 | 0 | 0 | 0 | 1 | 1 | 0 | 1 | 
| 0 | 0 | 1 | 1 | 1 | 1 | 0 | 1 | 
| 0 | 1 | 0 | 1 | 0 | 1 | 0 | 0 | 
| 0 | 1 | 1 | 1 | 1 | 1 | 0 | 0 | 
| 1 | 0 | 0 | 0 | 1 | 1 | 1 | 1 | 
| 1 | 0 | 1 | 1 | 1 | 1 | 1 | 1 | 
| 1 | 1 | 0 | 1 | 0 | 1 | 1 | 0 | 
| 1 | 1 | 1 | 1 | 1 | 0 | 1 | 0 | 
Wir erhalten also ${(AK\vee BK),(AK\rightarrow BK), ((BK\wedge RL)\rightarrow \lnot AK),RL} \Vdash_B \lnot AK$ und können damit sagen:
„Wenn die Aussagen „Bauteil A oder Bauteil B ist kaputt“ und „daraus, dass Bauteil A kaputt ist, folgt, dass Bauteil B kaputt ist“ und... wahr sind, ... dann kann man die Folgerung ziehen: die Aussage „das Bauteil A ist heil“ ist wahr.“
Erinnerung aus der ersten Vorlesung: \{(AK\vee BK),(AK\rightarrow BK), ((BK\wedge RL)\rightarrow \lnot AK),RL\} \vdash  \lnot AK
Beispiel
Sei \phi beliebige Formel mit atomaren Formeln in V.
- 
Sei B:V\rightarrow Beine B-Belegung. Dann giltB(\lnot\lnot\phi\rightarrow\phi) = \rightarrow B(\lnot B\lnot B(B(\phi)),B(\phi)) = max(B(\phi), 1 -( 1 -( 1 -B(\phi)))) = max(B(\phi), 1 -B(\phi)) = 1 = 1_B.Also ist \lnot\lnot\phi\rightarrow\phieine B-Tautologie (gilt ebenso für den WahrheitswertebereichB_R).
- 
Sei B:V\rightarrow H_Reine $H_R$-Belegung mitB(\phi) =R\backslash\{0\}. Dann gelten- B(\lnot\phi) = Inneres(\mathbb{R}\backslash B(\phi)) = Inneres(\{0\}) =\varnothing
- B(\lnot\lnot\phi) = Inneres(\mathbb{R}\backslash B(\lnot\phi)) = Inneres(\mathbb{R}) = \mathbb{R}
- B(\lnot\lnot\phi\rightarrow\phi) = \rightarrow_{H_R} (B(\lnot\lnot\phi),B(\phi)) = \rightarrow_{H_R} (\mathbb{R},\mathbb{R}\backslash \{0\}) = Inneres(\mathbb{R}\backslash\{0\}\cup\mathbb{R}\backslash\mathbb{R}) = \mathbb{R}\backslash\{0\}\not =\mathbb{R}= 1_{H_R}
 Also ist \lnot\lnot\phi\rightarrow\phikeine $H_R$-Tautologie (gilt ebenso für die WahrheitswertebereicheK_3undF).
- 
Sei B:V\rightarrow Beine B-Belegung. Dann giltB(\phi\vee\lnot\phi) = max(B(\phi), 1 -B(\phi)) = 1 = 1_B.Also ist \phi\vee\lnot\phieine B-Tautologie (gilt ebenso für den WahrheitswertebereichB_R).
- 
Sei B:V\rightarrow H_Reine $H_R$-Belegung mitB(\phi)=\mathbb{R}\backslash\{0\}. Dann giltB(\phi\vee\lnot\phi) = B(\phi)\cup B(\lnot\phi) = \mathbb{R}\backslash\{0\}\cup \varnothing \not= 1_{H_R}.Also ist \phi\vee\lnot\phikeine $H_R$-Tautologie (gilt ebenso für die WahrheitswertebereicheK_3undF).
- 
Sei B:V\rightarrow Beine B-Belegung. Dann giltB(\lnot\phi\rightarrow\bot) = \rightarrow_B(B(\lnot\phi),B(\bot)) = max(0,1-B(\lnot \phi)) = 1 -( 1 -B(\phi)) =B(\phi)$.Also haben wir \{\lnot\phi\rightarrow\bot\}\Vdash B\phiund\{\phi\}\Vdash B\lnot \phi\rightarrow\bot.- Ebenso erhält man:
- \{\lnot\phi\rightarrow\bot\}\Vdash_{K_3} \phi
- \{\phi\}\Vdash_{K_3} \lnot\phi\rightarrow\bot
- \{\lnot\phi\rightarrow\bot\}\Vdash_F\phi
- \{\phi\}\Vdash F\lnot\phi\rightarrow\bot
 
 
- Ebenso erhält man:
- 
Sei B:D\rightarrow H_Reine $H_R$-Belegung mitB(\phi) =\mathbb{R}\backslash\{0\}. Dann giltB(\lnot\phi\rightarrow\bot) = Inneres(B(\bot )\cup \mathbb{R}\backslash B(\lnot\phi))= Inneres(\varnothing \cup \mathbb{R}\backslash\varnothing)= \mathbb{R} \not\supseteq B(\phi).also \{\lnot\phi\rightarrow\bot\}\not\Vdash_{H_R} \phi.Es gilt aber \{\phi\}\Vdash_{H_R}\lnot \phi\rightarrow\bot.
Zusammenfassung der Beispiele
| B | B_R | K_3 | F | H_R | ||
|---|---|---|---|---|---|---|
| \varnothing\Vdash_W\lnot\lnot\phi\rightarrow\phi | √ | √ | – | – | – | \varnothing\vdash \lnot\lnot\phi\rightarrow\phi | 
| \varnothing\Vdash_W\phi\vee\lnot\phi | √ | √ | – | – | – | \varnothing\vdash\phi\vee\lnot\phi | 
| \{\lnot\phi\rightarrow\bot\}\Vdash_W\phi | √ | √ | √ | √ | – | \{\lnot\phi\rightarrow\bot\}\vdash\phi | 
| \{\phi\}\Vdash_W\lnot\phi\rightarrow\bot | √ | √ | √ | √ | √ | \{\phi\}\vdash\lnot\phi\rightarrow\bot | 
- √in Spalte W:W-Folgerung gilt
- -in Spalte W:W-Folgerung gilt nicht
Überblick: Wir haben definiert
- \Gamma\vdash\phisyntaktische Folgerung- Theorem („hypothesenlos ableitbar“)
 
- \Gamma\Vdash_W \phi(semantische) W-Folgerung- W-Tautologie („wird immer zu 1_Wausgewertet“)
 
- W-Tautologie („wird immer zu 
Frage: Was ist die Beziehung zwischen diesen Begriffen, insbes. zwischen „Theorem“ und „W-Tautologie“? Da z.B. B-Folgerung $\not =K_3$-Folgerung, hängt die Anwort von W ab.
Korrektheit
Können wir durch mathematische Beweise zu falschen Aussagenkommen?
Können wir durch das natürliche Schließen zu falschen Aussagen kommen?
Existiert eine Menge \Gamma von Formeln und eine Formel \varphi mit \Gamma\vdash\varphi und \Gamma\not\Vdash_W \varphi? Für welche Wahrheitswertebereiche W?
Frage für diese Vorlesung: Für welche Wahrheitswertebereiche W gilt
$\Gamma\vdash\varphi\Rightarrow\Gamma\vdash_W \varphi$
bzw.
\varphi ist Theorem \Rightarrow\varphi ist W-Tautologie?
Beispiel: Betrachte den Kleeneschen Wahrheitswertebereich K_3.
- Sei patomare Formel. $\frac{[p]^4}{p\rightarrow p}$ Also gilt\varnothing\vdash p\rightarrow p, d.h.p\rightarrow pist Theorem.
- Sei B$K_3$-Belegung mitB(p)=\frac{1}{2}. Dann giltB(p\rightarrow p) = max(B(p), 1-B(p)) =\frac{1}{2}, alsoinf\{B(\gamma)|\gamma\in\varnothing\}= 1 >\frac{1}{2} = B(p\rightarrow p). Damit haben wir gezeigt\varnothing\not\Vdash_{K_3} p\rightarrow p.
Die Implikation \Gamma\vdash\varphi\Rightarrow\Gamma\vdash_W \varphi gilt also NICHT für den Kleeneschen Wahrheitswertebereich W=K_3 und damit auch NICHT für den Wahrheitswertebereich der Fuzzy-Logik F.
Korrektheitslemma für nat. Schließen & Wahrheitswertebereich B
Sei
Deine Deduktion mit Hypothesen in der Menge\Gammaund Konklusion\varphi. Dann gilt\Gamma\vdash_B \varphi, d.h.inf\{B(\gamma)|\gamma\in\Gamma\}\leq B(\varphi)für alle passenden B-BelegungenB.
Beweis: Induktion über die Größe der Deduktion D (d.h. Anzahl der Regelanwendungen).
- I.A.: die kleinste Deduktion Dhat die Form\varphimit Hypothese\varphiund Konklusion\varphi. SeiBpassendeB-Belegung. Hypothesen vonDin\Gamma\Rightarrow\varphi\in\Gamma\Rightarrow inf\{B(\gamma)|\gamma\in\Gamma\}\leq B(\varphi)\Rightarrow\Gamma\vdash_B \varphi
- I.V.: Behauptung gelte für alle Deduktionen, die kleiner sind als D.
- I.S.: Wir unterscheiden verschiedene Fälle, je nachdem, welche Regel als letzte angewandt wurde.
- (\wedge I)Die Deduktion hat die Form $\frac{\alpha\quad\beta}{\alpha\wedge\beta}$ mit- \varphi=\alpha\wedge\beta. Sei- Bpassende B-Belegung. Nach IV gelten- inf\{B(\gamma)|\gamma\in\Gamma\}\leq B(\alpha)und $inf{B(\gamma)|\gamma\in\Gamma}\leq B(\beta)$ und damit- inf\{B(\gamma)|\gamma\in\Gamma\}\leq B(\alpha)\wedge_B B(\beta)=B(\alpha\wedge\beta) =B(\varphi). Da- Bbeliebig war, haben wir- \Gamma\vdash_B \varphigezeigt.
- (\vee E)Die Deduktion- Dhat die Form $\frac{\alpha\vee\beta\quad\phi\quad\phi}{\phi}$ Also gibt es Deduktion- Emit Hypothesen in- \Gammaund Konklusion- \alpha\vee\betaund Deduktionen- Fund- Gmit Hypothesen in- \Gamma\cup\{\alpha\}bzw.- \Gamma\cup\{\beta\}und Konklusion- \varphi. Sei- Bpassende B-Belegung. Nach IV gelten- inf\{B(\gamma)|\gamma\in\Gamma\}\leq B(\alpha\vee\beta)(1)- inf\{B(\gamma)|\gamma\in\Gamma\cup\{\alpha\}\}\leq B(\varphi)(2)- inf\{B(\gamma)|\gamma\in\Gamma\cup\{\beta\}\}\leq B(\varphi)(3) Wir unterscheiden zwei Fälle:- B(\alpha)\leq B(\beta):- inf\{B(\gamma)|\gamma\in\Gamma\}\leq B(\alpha\vee\beta) =B(\alpha)\vee_B B(\beta) =B(\beta)impliziert- inf\{B(\gamma)|\gamma\in\Gamma\}= inf\{B(\gamma)|\gamma\in\Gamma\cup\{\beta\}\}\leq B(\varphi)
- B(\alpha)>B(\beta): analog Da- Bbeliebig war, haben wir- \Gamma\vdash_B \varphigezeigt.
 
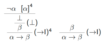
- (\rightarrow I)Die DeduktionDhat die Form $\frac{\beta}{\alpha\rightarrow\beta}$ mit- \varphi=\alpha\rightarrow\beta. Sei- Beine passende B-Belegung. Nach IV gilt $inf{B(\gamma)|\gamma\in\Gamma\cup{\alpha}}\leq B(\beta)$ Wir unterscheiden wieder zwei Fälle:- B(\alpha)=0:inf\{B(\gamma)|\gamma\in\Gamma\}\leq 1 =\rightarrow_B(B(\alpha),B(\beta)) = B(\alpha\rightarrow\beta) =B(\varphi)
- $B(\alpha)=1:inf{B(\gamma)|\gamma\in\Gamma}=inf{B(\gamma)|\gamma\in\Gamma\cup{\alpha}}\leq B(\beta) =\rightarrow_B (B(\alpha),B(\beta)) = B(\alpha\rightarrow\beta) =B(\varphi)$
Da Bbeliebig war, habe wir\Gamma\vdash_B \varphigezeigt.
 
- (raa)Die DeduktionDhat die Form $\frac{\bot}{\phi}$ Sei- Beine passende B-Belegung. Nach IV gilt- inf\{B(\gamma)|\gamma\in\Gamma\cup\{\lnot\varphi\}\}\leq B(\bot) = 0. Wir unterscheiden wieder zwei Fälle:- inf\{B(\gamma)|\gamma\in\Gamma\}=0: dann gilt- inf\{B(\gamma)|\gamma\in\Gamma\}\leq B(\varphi).
- inf\{B(\gamma)|\gamma\in\Gamma\}=1: Wegen- inf\{B(\gamma)|\gamma\in\Gamma\cup\{\lnot\varphi\}\}=0folgt- 0 =B(\lnot\varphi)=\lnot_B (B(\varphi))und daher- B(\varphi)=1\geq inf\{B(\gamma)|\gamma\in\Gamma\}. Da- Bbeliebig war, haben wir- \Gamma\vdash_B \varphigezeigt.
 
 
Ist die letzte Schlußregel in der Deduktion D von der Form (\wedge I), (\vee E), (\rightarrow I) oder (raa), so haben wir die Behauptung des Lemmas gezeigt. Analog kann dies für die verbleibenden Regeln getan werden.
Korrektheitssatz für natürliches Schließen & Wahrheitswertebereich
BFür jede Menge von Formeln
\Gammaund jede Formel\varphigilt\Gamma\vdash\varphi\Rightarrow\Gamma\vdash_B\varphi.
Beweis: Wegen \Gamma\vdash\varphi existiert eine Deduktion D mit Hypothesen in \Gamma und Konklusion \varphi. Nach dem Korrektheitslemma folgt \Gamma\vdash_B \varphi.
Korollar: Jedes Theorem ist eine B-Tautologie.
Korrektheitssatz für natürliches Schließen & Wahrheitswertebereich
BFür jede Menge von Formeln
\Gammaund jede Formel\varphigilt\Gamma\vdash\varphi\Rightarrow\Gamma\vdash_{B_\mathbb{R}}\varphi.
Beweis:
- Variante: verallgemeinere den Beweis von Korrektheitslemma und Korrektheitssatz für BaufB_\mathbb{R}(Problem: wir haben mehrfach ausgenutzt, dassB=\{0,1\}mit0<1)
- Variante: Folgerung aus Korrektheitssatz für B.
Korollar: Jedes Theorem ist eine $B_\mathbb{R}$-Tautologie.
Korrektheitslemma für nat. Schließen & Wahrheitswertebereich
H_{mathbb{R}}Sei
Deine Deduktion mit Hypothesen in der Menge\Gammaund Konklusion\varphi, die die Regel(raa)nicht verwendet. Dann gilt\Gamma\vdash_{H_\mathbb{R}}\varphi.
Beweis: ähnlich zum Beweis des Korrektheitslemmas für den Wahrheitswertebereich B. Nur die Behandlung der Regel (raa) kann nicht übertragen werden.
Beispiel: Sei p eine atomare Formel.
 Also gilt
Also gilt \{\lnot\lnot p\}\vdash p, d.h. p ist syntaktische Folgerung von \lnot\lnot p.
- Sei B$H_{mathbb{R}}$-Belegung mitB(p)=\mathbb{R}\backslash\{0\}.
- \Rightarrow B(\lnot\lnot p) =\mathbb{R}\not\subseteq \mathbb{R}\backslash\{0\}=B(p)
- \Rightarrow\lnot\lnot p\not\Vdash_{H_{mathbb{R}}} p, d.h.- pist keine- H_{mathbb{R}}-Folgerung von- \lnot\lnot p.
Korrektheitssatz für nat. Schließen & Wahrheitswertebereich
H_{mathbb{R}}Für jede Menge von Formeln
\Gammaund jede Formel\varphigilt\Gamma\vdash\varphiohne(raa)\Rightarrow\Gamma\vdash_{H_{mathbb{R}}}\varphi.
Korollar: Jedes $(raa)$-frei herleitbare Theorem ist eine $H_{mathbb{R}}$-Tautologie.
Folgerung: Jede Deduktion der Theoreme \lnot\lnot\varphi\rightarrow\varphi und \varphi\vee\lnot\varphi ohne Hypothesen verwendet (raa).
Vollständigkeit
Können wir durch mathematische Beweise zu allen korrekten Aussagen kommen?
Können wir durch das natürliche Schließen zu allen korrekten Aussagen kommen?
Existiert eine Menge \Gamma von Formeln und eine Formel \varphi mit \Gamma\vdash_W\varphi und \Gamma\not\vdash\varphi? Für welche Wahrheitswertebereiche W?
Frage für diese Vorlesung: Für welche Wahrheitswertebereiche W gilt \Gamma\vdash_W \varphi\Rightarrow\Gamma\vdash\varphi bzw. \varphi ist $W$-Tautologie \Rightarrow\varphi ist Theorem?
Plan
- Sei Weiner der WahrheitswertebereicheB,K_3 ,F ,B_\mathbb{R}, H_{mathbb{R}}.
- z.z. ist \Gamma\vdash_W\varphi\Rightarrow\Gamma\vdash\varphi.
- dies ist äquivalent zu \Gamma\not\vdash\varphi\Rightarrow\Gamma\not\Vdash_W \varphi.
- hierzu gehen wir folgendermaßen vor:
- \Gamma \not\Vdash_W\varphi
- \Leftrightarrow- \Gamma\cup\{\lnot\varphi\}konsistent
- \Rightarrow- \exists\Delta\subseteq\Gamma\cup\{\lnot\varphi\}maximal konsistent
- \Rightarrow- \Deltaerfüllbar
- \Rightarrow- \Gamma\cup\{\lnot\varphi\}erfüllbar
- \Leftrightarrow- \Gamma\not\Vdash_B \varphi
- \Rightarrow- \Gamma\not\Vdash\varphi
 
Konsistente Mengen
Definition
Sei
\Gammaeine Menge von Formeln.\Gammaheißt inkonsistent, wenn\Gamma\vdash\botgilt. Sonst heißt\Gammakonsistent.
Lemma
Sei
\Gammaeine Menge von Formeln und\varphieine Formel. Dann gilt\Gamma\not\vdash\varphi \Leftrightarrow \Gamma\cup\{\lnot\varphi\}konsistent.
Beweis: Wir zeigen „\Gamma\vdash\varphi\Leftrightarrow \Gamma\cup\{\lnot\varphi\} inkonsistent“:
- Richtung „$\Rightarrow$“, gelte also \Gamma \vdash \varphi.- \Rightarrowes gibt Deduktion- Dmit Hypothesen in- \Gammaund Konklusion- \varphi
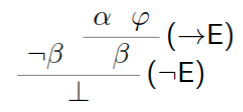
- \RightarrowWir erhalten die folgende Deduktion mit Hypothesen in- \Gamma\cup\{\lnot\varphi\}und Konklusion- \bot:- \frac{\lnot\varphi\quad\varphi}{\bot}
- \Rightarrow\Gamma\cup\{\lnot\varphi\}\vdash\bot, d.h.$\Gamma\cup{\lnot\varphi}$ ist inkonsistent.
 
- Richtung „$\Leftarrow$“, sei also \Gamma\cup\{\lnot\varphi\}inkonsistent.- \RightarrowEs gibt Deduktion- Dmit Hypothesen in- \Gamma\cup\{\lnot\varphi\}und Konklusion- \bot.
- \RightarrowWir erhalten die folgende Deduktion mit Hypothesen in- \Gammaund Konklusion- \varphi:- \frac{\bot}{\varphi}
- \Gamma\vdash\varphi
 
Maximal konsistente Mengen
Definition
Eine Formelmenge
\Deltaist maximal konsistent, wenn sie konsistent ist und wenn gilt „\sum\supseteq\Deltakonsistent $\Rightarrow\sum = \Delta$“.
Satz
Jede konsistente Formelmenge
\Gammaist in einer maximal konsistenten Formelmenge\Deltaenthalten.
Beweis: Sei \varphi_1,\varphi_2,... eine Liste aller Formeln (da wir abzählbar viele atomare
Formeln haben, gibt es nur abzählbar viele Formeln)
Wir definieren induktiv konsistente Mengen \Gamma_n:
- Setze \Gamma_1 = \Gamma
- Setze \Gamma_{n+1}= \begin{cases} \Gamma_n\cup\{\varphi_n\}\quad\text{ falls diese Menge konsistent} \\ \Gamma_n \quad\text{sonst}\end{cases}
Setze nun \Delta =\bigcup_{n\geq 1} \Gamma_n.
- Wir zeigen indirekt, dass \Deltakonsistent ist: Angenommen,\Delta\vdash\bot.- \RightarrowEs gibt Deduktion- Dmit Konklusion- \botund endlicher Menge von Hypothesen- \Delta'\subseteq\Delta.
- \RightarrowEs gibt- n\geq 1mit- \Delta'\subseteq\Gamma_n
- \Rightarrow \Gamma_n\vdash\bot, zu- \Gamma_nkonsistent. Also ist- \Deltakonsistent.
 
- Wir zeigen indirekt, dass \Deltamaximal konsistent ist. Sei also\sum\supseteq\Deltakonsistent. Angenommen,\sum\not=\Delta.- \Rightarrowes gibt- n\in Nmit- \varphi_n\in\sum\backslash\Delta
- \Rightarrow \Gamma_n\cup\{\varphi_n\}\subseteq\Delta\cup\sum= \sumkonsistent.
- \Rightarrow \varphi_n \in\Gamma_{n+1}\subseteq \Delta, ein Widerspruch, d.h.- \Deltaist max. konsistent.
 
Lemma 1
Sei
\Deltamaximal konsistent und gelte\Delta\vdash\varphi. Dann gilt\varphi\in\Delta.
Beweis:
- 
Zunächst zeigen wir indirekt, dass \Delta\cup\{\varphi\}konsistent ist:- Angenommen, \Delta\cup\{\varphi\}\vdash\bot.
- \Rightarrow- \existsDeduktion- Dmit Hypothesen in- \Delta\cup\{\varphi\}und Konklusion- \bot.
- \Delta\vdash \varphi \Rightarrow \existsDeduktion- Emit Hypothesen in- \Deltaund Konklusion- \varphi.
- \RightarrowWir erhalten die folgende Deduktion:- \frac{\Delta \frac{\Delta}{\varphi}}{\bot}
 Also \Delta\vdash\bot, ein Widerspruch zur Konsistenz von\Delta. Also ist\Delta\cup\{\varphi\}konsistent.
- Angenommen, 
- 
Da \Delta\cup\{\varphi\}\supseteq\Deltakonsistent und\Deltamaximal konsistent ist, folgt\Delta=\Delta\cup\{\varphi\}, d.h.\varphi\in\Delta.
Lemma 2
Sei
\Deltamaximal konsistent und\varphiFormel. Dann gilt\varphi\not\in\Delta\Leftrightarrow\lnot\varphi\in\Delta.
Beweis:
- Zunächst gelte \lnot\varphi\in\Delta. Angenommen,\varphi\in\Delta. Dann haben wir die Deduktion\frac{\lnot\varphi\quad\varphi}{\bot}und damit\Delta\vdash\bot, was der Konsistenz von\Deltawiderspricht.
- Gelte nun \varphi\not\in\Delta.- \Rightarrow- \Delta(\Delta\cup\{\varphi\}\Rightarrow\Delta\cup\{\varphi\}inkonsistent (da- \Deltamax. konsistent)
- \RightarrowEs gibt Deduktion- Dmit Hypothesen in- \Delta\cup\{\varphi\}&Konklusion- \bot.
- \RightarrowWir erhalten die folgende Deduktion:- \frac{\bot}{\lnot\varphi}
- \Rightarrow- \Delta\vdash\lnot\varphi\Rightarrow\lnot\varphi\in\Delta(nach Lemma 1)
 
Erfüllbare Mengen
Definition
Sei
\Gammaeine Menge von Formeln.\Gammaheißt erfüllbar, wenn es eine passende B-BelegungBgibt mitB(\gamma) = 1_Bfür alle\gamma\in\Gamma.
Bemerkung
- Die Erfüllbarkeit einer endlichen Menge \Gammaist entscheidbar:- Berechne Menge Vvon in\Gammavorkommenden atomaren Formeln
- Probiere alle B-Belegungen B:V\rightarrow Bdurch
 
- Berechne Menge 
- Die Erfüllbarkeit einer endlichen Menge \Gammaist NP-vollständig (Satz von Cook)
Satz Sei
\Deltaeine maximal konsistente Menge von Formeln. Dann ist\Deltaerfüllbar.
Beweis: Definiere eine B-Belegung B mittels $B(p_i) = \begin{cases} 1_B \quad\text{ falls } p_i\in\Delta \ 0_B \quad\text{ sonst. } \end{cases}$
Wir zeigen für alle Formeln \varphi: B(\varphi) = 1_B \Leftarrow\Rightarrow\varphi\in\Delta (*)
Der Beweis erfolgt per Induktion über die Länge von \varphi.
- 
I.A.: hat \varphidie Länge 1, so ist\varphiatomare Formel. Hier gilt (*) nach Konstruktion vonB.
- 
I.V.: Gelte (*) für alle Formeln der Länge <n.
- 
I.S.: Sei \varphiFormel der Längen$>1$.\RightarrowEs gibt Formeln\alphaund\betader Länge$<n$ mit\varphi\in\{\lnot\alpha,\alpha\wedge\beta,\alpha\vee\beta,\alpha\rightarrow\beta\}.- Wir zeigen (*) für diese vier Fälle einzeln auf den folgenden Folien.
- Zur Erinnerung: \Deltamax. konsistent,\varphiFormel- Lemma 1: \Delta\vdash\varphi\Rightarrow\varphi\in\Delta
- Lemma 2: \varphi\not\in\Delta\Leftarrow\Rightarrow\lnot\varphi\in\Delta
 
- Lemma 1: 
 
- 
\varphi =\lnot\alpha.B(\varphi) = 1_B \Leftarrow\Rightarrow B(\alpha) = 0_B \Leftarrow\Rightarrow \alpha\not\in\Delta\Leftarrow\Rightarrow \Delta \owns\lnot\alpha =\varphi
- 
\varphi =\alpha\wedge\beta.
- B(\varphi) = 1_B \Rightarrow B(\alpha) =B(\beta) = 1_B \Rightarrow\alpha,\beta\in\Delta\Rightarrow\Delta\vdash\varphidenn- \frac{\alpha\quad\beta}{\alpha\wedge\beta}ist Deduktion- \Rightarrow\varphi\in\Delta.
- \varphi- \in- \Delta- \Rightarrow\Delta\vdash\alphaund- \Delta\vdash\betadenn- \frac{\varphi}{\alpha}und- \frac{\varphi}{\beta}sind Deduktionen.- \Rightarrow\alpha,\beta\in\Delta\Rightarrow B(\alpha),B(\beta) = 1_B=\Rightarrow B(\varphi) = 1_B
- \varphi =\alpha\vee\beta.
- B(\varphi) = 1_B \Rightarrow B(\alpha) = 1_Boder- B(\beta) = 1_B- angenommen, B(\alpha) = 1_B \Rightarrow\alpha\in\Delta\Rightarrow\Delta\vdash\varphidenn\frac{\alpha}{\varphi}ist Deduktion\Rightarrow\varphi\in\Delta
- angenommen, B(\alpha) = 0_B \Rightarrow B(\beta) = 1_B. weiter analog.
 
- angenommen, 
- \varphi\in\Delta. Dann gilt- \Delta\cup\{\lnot\alpha ,\lnot\beta\}\vdash \botaufgrund der Deduktion Da Da- \Deltakonsistent ist, folgt- \Delta\not=\Delta\cup\{\lnot\alpha,\lnot\beta\}und damit- \lnot\alpha\in\Deltaoder- \lnot\beta\in\Delta.- \Rightarrow\alpha\in\Deltaoder- \beta\in\Deltanach Lemma 2- \Rightarrow B(\alpha) = 1_Boder $B(\beta) =1_B$- \Rightarrow B(\varphi) = 1_B.
- \varphi = \alpha\rightarrow\beta.
- B(\varphi) = 1_B \Rightarrow B(\alpha) = 0_Boder- B(\beta) = 1_B \Rightarrow\lnot\alpha\in\Deltaoder $\beta\in\Delta$ Aufgrund nebenstehender Deduktionen gilt in beiden Fällen $\Delta\vdash\alpha\rightarrow\beta\Rightarrow\varphi\in\Delta$ 
- \varphi\in\Delta. Angenommen,- B(\varphi) = 0_B = \Rightarrow B(\alpha) = 1_B, B(\beta) = 0_B$\Rightarrow\alpha\in\Delta, \beta\not\in\Delta \Rightarrow \lnot\beta\in\Delta$ Aufgrund der nebenstehenden Deduktion gilt- \Delta\vdash\bot, d.h.- \Deltaist inkonsistent, im Widerspruch zur Annahme. $\Rightarrow B(\varphi) = 1_B$ 
Lemma
Sei
\Gammaeine Menge von Formeln und\varphieine Formel. Dann gilt\Gamma\not\Vdash_B\varphi\Leftarrow\Rightarrow\Gamma\cup\{\lnot \varphi\}erfüllbar.
Beweis: \Gamma\not\Vdash_B\varphi
\Leftarrow\Rightarrow es gibt passende B-Belegung B mit $inf{B(\gamma)|\gamma\in\Gamma} \not\leq_B B(\varphi)$
\Leftarrow\Rightarrow es gibt passende B-Belegung B mit inf\{B(\gamma)|\gamma\in\Gamma\}= 1_B und $B(\varphi)=0_B$
\Leftarrow\Rightarrow es gibt passende B-Belegung B mit B(\gamma) = 1_B für alle \gamma\in\Gamma und $B(\lnot\varphi) = 1_B$
\Leftarrow\Rightarrow \Gamma\cup\{\lnot\varphi\} erfüllbar
Beobachtung: Sei
Weiner der WahrheitswertebereicheB, K_3, F, H_RundB_R,\Gammaeine Menge von Formeln und\varphieine Formel. Dann gilt\Gamma\Vdash W\varphi\Rightarrow\Gamma\Vdash B\varphi.
Beweis: Sei B beliebige B-Belegung, die zu jeder Formel in \Gamma\cup\{\varphi\} paßt. definiere W-Belegung B_W durch B_W(pi) = \begin{cases} 1_W \quad\text{ falls } B(p_i) = 1_B \\ 0_W \quad\text{ sonst} \end{cases}.
per Induktion über die Formelgröße kann man für alle Formeln \psi, zu denen B paßt, zeigen:
B_W(\psi) = \begin{cases} 1_W \quad\text{ falls } B(\psi) = 1_B \\ 0_W \quad\text{ sonst.} \end{cases} (*)
Wir unterscheiden zwei Fälle:
- inf\{B(\gamma)|\gamma\in\Gamma\}= 1_B \Rightarrow inf\{B_W(\gamma)|\gamma\in\Gamma\} = 1_W(wegen ())- \Rightarrow 1_W = B_W(\varphi)(wegen- \Gamma\Vdash_W\varphi)- \Rightarrow 1_B = B(\varphi)(wegen ())- \Rightarrow inf\{B(\gamma)|\gamma\in\Gamma\} = 1_B \leq B(\varphi)und
- $inf{B(\gamma)|\gamma\in\Gamma} \not= 1_B \Rightarrow inf{B(\gamma)|\gamma\in\Gamma}= 0_B$
\Rightarrow inf\{B(\gamma)|\gamma\in\Gamma\}= 0_B \leq B(\varphi).
Da B beliebig war, gilt \Gamma\Vdash_B \varphi.
Satz (Vollständigkeitssatz)
Sei
\Gammaeine Menge von Formeln,\varphieine Formel undWeiner der WahrheitswertebereicheB,K_3 , F, B_RundH_R. Dann gilt\Gamma\Vdash_W\varphi \Rightarrow \Gamma\vdash\varphi. Insbesondere ist jede W-Tautologie ein Theorem.
Beweis: indirekt
- \Gamma\not\Vdash
- \Gamma\cup\{\lnot\varphi\}konsistent
- \exists\Delta\supseteq\Gamma\cup\{\lnot\varphi\}maximal konsistent
- \Rightarrow\Deltaerfüllbar
- \Gamma\cup\{\lnot\varphi\}erfüllbar
- \Gamma\not\Vdash_B \varphi
- \Gamma\not\Vdash_W \varphi
Vollständigkeit und Korrektheit
Satz
Seien
\Gammaeine Menge von Formeln und\varphieine Formel. Dann gilt\Gamma\vdash\varphi\Leftarrow\Rightarrow\Gamma\Vdash_B \varphi. Insbesondere ist eine Formel genau dann eine B-Tautologie, wenn sie ein Theorem ist.
Beweis: Folgt unmittelbar aus Korrektheitssatz und Vollständigkeitssatz.
Bemerkung:
- gilt für jede „Boolesche Algebra“, z.B.
B_R
\Gamma\vdash\varphiohne (raa)\Leftarrow\Rightarrow\Gamma\Vdash_{H_R} \varphi(Tarksi 1938)
Folgerung 1: Entscheidbarkeit
Satz: die Menge der Theoreme ist entscheidbar.
Beweis: Sei \varphi Formel und V die Menge der vorkommenden atomaren Formeln. Dann gilt \varphi Theorem
- \Leftarrow\Rightarrow\varphiB-Tautologie
- \Leftarrow\Rightarrowfür alle Abbildungen- B:V\rightarrow\{0_B, 1_B\}gilt- B(\varphi) = 1_B
Da es nur endlich viele solche Abbildungen gibt und B(\varphi) berechnet werden kann, ist dies eine entscheidbare Aussage.
Folgerung 2: Äquivalenzen und Theoreme
Definition
Zwei Formeln
\alphaund\betaheißen äquivalent(\alpha\equiv\beta), wenn für alle passenden B-BelegungenBgilt:B(\alpha) =B(\beta).
Satz: Es gelten die folgenden Äquivalenzen:
p_1 \vee p_2 \equiv p_2 \vee p_1
(p_1 \vee p_2 )\vee p_3 \equiv p_1 \vee (p_2 \vee p_3 )
p_1 \vee (p_2 \wedge p_3 )\equiv (p_1 \vee p_2 )\wedge (p_1 \vee p_3 )
\lnot(p_1 \vee p_2 )\equiv\lnot p_1 \wedge\lnot p_2
p_1 \vee p_1 \equiv p_1
(p_1 \wedge \lnot p_1 )\vee p_2 \equiv p_2
\lnot\lnot p_1\equiv p_1
p_1 \wedge\lnot p_1 \equiv\bot
p_1 \vee\lnot p_1 \equiv\lnot\bot
p_1 \rightarrow p_2 \equiv \lnot p_1 \vee p_2
Beweis: Wir zeigen nur die Äquivalenz (3):
Sei B beliebige B-Belegung, die wenigstens auf \{p_1, p_2, p_3\} definiert ist.
Dazu betrachten wir die Wertetabelle:
| B(p_1) | B(p_2) | B(p_3) | B(p_1\vee(p_2\wedge p_3)) | B((p_1\vee p_2)\wedge(p_1 \vee p_3 )) | 
|---|---|---|---|---|
| 0_B | 0_B | 0_B | 0_B | 0_B | 
| 0_B | 0_B | 1_B | 0_B | 0_B | 
| 0_B | 1_B | 0_B | 0_B | 0_B | 
| 0_B | 1_B | 1_B | 1_B | 1_B | 
| 1_B | 0_B | 0_B | 1_B | 1_B | 
| 1_B | 0_B | 1_B | 1_B | 1_B | 
| 1_B | 1_B | 0_B | 1_B | 1_B | 
| 1_B | 1_B | 1_B | 1_B | 1_B | 
Die anderen Äquivalenzen werden analog bewiesen.
Aus dieser Liste von Äquivalenzen können weitere hergeleitet werden:
Beispiel: Für alle Formeln \alpha und \beta gilt \lnot(\alpha\wedge\beta)\equiv\lnot\alpha\vee\lnot\beta.
Beweis: \lnot(\alpha\wedge\beta) \equiv \lnot(\lnot\lnot\alpha\wedge\lnot\lnot\beta) \equiv \lnot\lnot(\lnot\alpha\vee\lnot\beta) \equiv \lnot\alpha\vee\lnot\beta
Bemerkung Mit den üblichen Rechenregeln für Gleichungen können aus dieser Liste alle gültigen Äquivalenzen hergeleitet werden.
Zusammenhang zw. Theoremen und Äquivalenzen
Satz
Seien
\alphaund\betazwei Formeln. Dann gilt\alpha\equiv\beta\Leftarrow\Rightarrow(\alpha\leftrightarrow\beta)ist Theorem.
Beweis: \alpha\equiv\beta
- \Leftarrow\Rightarrowfür alle passenden B-Belegungen- Bgilt- B(\alpha)=B(\beta)
- \Leftarrow\Rightarrow \{\alpha\}\Vdash_B\betaund- \{\beta\}\Vdash_B \alpha
- \Leftarrow\Rightarrow \{\alpha\}\vdash\betaund- \{\beta\}\vdash\alpha(nach Korrektheits- und Vollständigkeitssatz)
es bleibt z.z., dass dies äquivalent zu \varnothing\vdash(\alpha\leftrightarrow\beta) ist.
- \Rightarrow: Wir haben also Deduktionen mit Hypothesen in- \{\alpha\}bzw. in- \{\beta\}und Konklusionen- \betabzw.$\alpha$. Es ergibt sich eine hypothesenlose Deduktion von- \alpha\leftrightarrow\beta: 
- \Leftarrow: Wir haben also eine hypothesenlose Deduktion von- \alpha\leftrightarrow\beta. Es ergeben sich die folgenden Deduktionen mit Hypothesen- \betabzw.- \alphaund Konklusionen- \alphabzw.- \beta: 
Satz
Sei
\alphaeine Formel. Dann gilt\alphaist Theorem\Leftarrow\Rightarrow\alpha\equiv\lnot\bot.
Beweis: \alpha ist Theorem
- \Leftarrow\Rightarrow\alphaist B-Tautologie (Korrektheits- und Vollständigkeitssatz)
- \Leftarrow\Rightarrowfür alle passenden B-Belegungen- Bgilt- B(\alpha) = 1_B
- \Leftarrow\Rightarrowfür alle passenden B-Belegungen- Bgilt- B(\alpha) =B(\lnot\bot)
- \Leftarrow\Rightarrow\alpha\equiv\lnot\bot
Folgerung 3: Kompaktheit
Satz
Sei
\Gammaeine u.U. unendliche Menge von Formeln und\varphieine Formel mit\Gamma\Vdash_B\varphi. Dann existiert\Gamma′\subseteq\Gammaendlich mit\Gamma′\Vdash_B \varphi.
Beweis: \Gamma\Vdash_B\varphi
- \Rightarrow\Gamma\vdash\varphi(nach dem Vollständigkeitssatz)
- \Rightarrowes gibt Deduktion von- \varphimit Hypothesen- \gamma_1,...,\gamma_n\in\Gamma
- \Rightarrow\Gamma′=\{\gamma_1,...,\gamma_n\}\subseteq\Gammaendlich mit- \Gamma′\vdash\varphi
- \Rightarrow\Gamma′\Vdash_B\varphi(nach dem Korrektheitssatz).
Folgerung (Kompaktheits- oder Endlichkeitssatz)
Sei
\Gammaeine u.U. unendliche Menge von Formeln. Dann gilt\Gammaunerfüllbar\Leftarrow\Rightarrow\exists\Gamma′\subseteq\Gammaendlich:\Gamma′unerfüllbar
Beweis: \Gamma unerfüllbar
- \Leftarrow\Rightarrow\Gamma\cup\{\lnot\bot\}unerfüllbar
- \Leftarrow\Rightarrow\Gamma\Vdash_B\bot
- \Leftarrow\Rightarrowes gibt- \Gamma′\subseteq\Gammaendlich:- \Gamma′\Vdash_B\bot
- \Leftarrow\Rightarrowes gibt- \Gamma′\subseteq\Gammaendlich:- \Gamma′\cup\{\lnot\bot\}unerfüllbar
- \Leftarrow\Rightarrowes gibt- \Gamma′\subseteq\Gammaendlich:- \Gamma′unerfüllbar
1. Anwendung des Kompaktheitsatzes: Färbbarkeit
Definition
Ein Graph ist ein Paar
G=(V,E)mit einer MengeVund $E\subseteq\binom{V}{2} ={X\subseteq V:|V$\Vdash$ 2 }$. FürW\subseteq VseiG\upharpoonright_W= (W,E\cap\binom{W}{2})der vonWinduzierte Teilgraph. Der Graph G ist 3-färbbar, wenn es eine Abbildungf:V\rightarrow\{1,2,3\}mitf(v)\not=f(w)für alle\{v,w\}\in E.
Bemerkung: Die 3-Färbbarkeit eines endlichen Graphen ist NP-vollständig
Satz Sei
G= (N,E)ein Graph. Dann sind äquivalent
Gist 3-färbbar.- Für jede endliche Menge
W\subseteq NistG\upharpoonright_W3-färbbar.
Beweis:
- 1.\Rightarrow 2.trivial
- 2.\Rightarrow 1.Sei nun, für alle endlichen Menge- W\subseteq N, der induzierte Teilgraph- G\upharpoonright_W3-färbbar.
Wir beschreiben zunächst mit einer unendlichen Menge \Gamma von Formeln, dass eine 3-Färbung existiert:
- atomare Formeln p_{n,c}fürn\in Nundc\in\{1,2,3\}(Idee: der Knoten n hat die Farbe c)
- \Gammaenthält die folgenden Formeln:- für alle n\in N:p_{n, 1} \vee p_{n, 2} \vee p_{n, 3}(der Knoten n ist gefärbt)
- für alle n\in N:\bigwedge_{1\leq c< d \leq 3} \lnot(p_{n,c} \wedge p_{n,d})(der Knoten n ist nur mit einer Farbe gefärbt)
- für alle \{m,n\}\in E: \bigwedge_{1\leq c\leq 3} \lnot(p_{m,c} \wedge p_{n,c})(verbundene Knoten m und n sind verschieden gefärbt)
 
- für alle 
Behauptung: Jede endliche Menge \Delta\subseteq\Gamma ist erfüllbar.
Begründung:
- Da \Deltaendlich ist, existiert endliche MengeW\subseteq N, so dass jede atomare Formel in\Deltadie Formp_{n,c}für einn\in Wund einc\in\{1,2,3\}hat.
- Nach Annahme existiert f_W:W\rightarrow\{1,2,3\}mitf_W(m) \not=f(n)f.a.\{m,n\}\in E\cap\binom{W}{2}.
- Definiere B:\{p_{n,c}|n\in W, 1 \leq c\leq 3\}\rightarrow\{0,1\}durchB(p_{n,c}) = \begin{cases} 1 \quad\text{ falls } f_W(n) = c \\ 0 \quad\text{ sonst.} \end{cases}
- Diese Belegung erfüllt \Delta, d.h.\Deltaist erfüllbar, womit die Behauptung gezeigt ist.
Nach dem Kompaktheitssatz ist also \Gamma erfüllbar.
Sei B erfüllende Belegung. Für n\in N existiert genau ein c\in\{1,2,3\} mit B(p_{n,c}) =1. Setze f(n) =c. Dann ist f eine gültige Färbung des Graphen G.
2. Anwendung des Kompaktheitsatzes: Parkettierungen
Idee: Gegeben ist eine Menge von quadratischen Kacheln mit gefärbten Kanten. Ist es möglich, mit diesen Kacheln die gesamte Ebene zu füllen,so dass aneinanderstoßende Kanten gleichfarbig sind?
Berühmtes Beispiel: Mit diesen 11 Kacheln kann die Ebene gefüllt werden, aber dies ist nicht periodisch möglich.

Definition
Ein Kachelsystem besteht aus einer endlichen Menge C von „Farben“ und einer Menge K von Abbildungen
\{N,O,S,W\}\rightarrow Cvon „Kacheln“. Eine Kachelung vonG\subseteq Z\times Zist eine Abbildungf:G\rightarrow Kmit
f(i,j)(N) =f(i,j+ 1 )(S)für alle(i,j),(i,j+ 1 )\in G
f(i,j)(O) =f(i+ 1 ,j)(W)für alle(i,j),(i+ 1 ,j)\in G
Satz
Sei
Kein Kachelsystem. Es existiert genau dann eine Kachelung vonZ\times Z, wenn für jedesn\in Neine Kachelung von\{(i,j) :|i|,|j| \leq n\}existiert.
Beweis:
- \Rightarrow: trivial
- \Leftarrow: Wir beschreiben zunächst mit einer unendlichen Menge- \Gammavon Formeln, dass eine Kachelung existiert: atomare Formeln- p_{k,i,j}für- k\in Kund- i,j\in Z(Idee: an der Stelle- (i,j)liegt die Kachel- k, d.h.- f(i,j) =k) Für alle- (i,j)\in Zenthält- \Gammadie folgenden Formeln:- eine der Kacheln aus Kliegt an der Stelle(i,j):\bigvee_{k\in K} p_{k,i,j}
- es liegen nicht zwei verschiedene Kacheln an der Stelle (i,j): \bigwedge_{k,k′\in K,k\not=k′} \lnot(p_{k,i,j}\wedge p_{k′,i,j})
- Kacheln an Stellen (i,j)und(i,j+1)„passen übereinander“:\bigvee_{k,k′\in K,k(N)=k′(S)} (p_{k,i,j}\wedge p_{k′,i,j+1})
- Kacheln an Stellen (i,j)und(i+1,j)„passen nebeneinander“:\bigvee_{k,k′\in K,k(W)=k′(O)} (p_{k,i,j}\wedge p_{k′,i+1,j})
 
- eine der Kacheln aus 
Sei nun \Delta\subseteq\Gamma endlich.
- \Rightarrowes gibt- n\in N, so dass- \Deltanur atomare Formeln der Form- p_{k,i,j}mit- |i|,|j|\leq nenthält.
- Voraussetzung \Rightarrowes gibt Kachelungg:\{(i,j) :|i|,|j| \leq n\}\rightarrow Kfürk\in Kund|i|,|j|\leq ndefiniereB(p_{k,i,j}) = \begin{cases} 1_B \quad\text{ falls } g(i,j) =k \\ 0_B \quad\text{ sonst} \end{cases}
- \Rightarrow B(\sigma) = 1_Bfür alle- \sigma\in\Delta(da- gKachelung)
- Also haben wir gezeigt, dass jede endliche Teilmenge von \Gammaerfüllbar ist.
- Kompaktheitssatz \Rightarrowes gibt B-BelegungBmitB(\gamma) = 1_Bfür alle\gamma\in\Gamma
- \Rightarrowes gibt Abbildung- f:Z\times Z\rightarrow Kmit- f(i,j) =k \Leftarrow\Rightarrow B(p_{k,i,j}) = 1_B.
- Wegen B\Vdash\Gammaist dies eine Kachelung.
Weitere Anwendungen des Kompaktheitsatzes
- abz. partielle Ordnungen sind linearisierbar
- abz. Gleichungssystem über \mathbb{Z}_2lösbar\Leftarrow\Rightarrowjedes endliche Teilsystem lösbar
- Heiratsproblem
- Kőnigs Lemma (Übung)
- ...
Bemerkung: Der Kompaktheitssatz gilt auch, wenn die Menge der atomaren Formeln nicht abzählbar ist. Damit gelten die obigen Aussagen allgemeiner:
- 3-Färbbarkeit: beliebige Graphen
- Linearisierbarkeit: beliebige partielle Ordnungen
- Lösbarkeit: beliebig große Gleichungssysteme über \mathbb{Z}_2
- ...
Erfüllbarkeit
Erfüllbarkeitsproblem
Eingabe: Formel
\GammaFrage: existiert eine B-Belegung
BmitB(\Gamma) = 1_B.
- offensichtlicher Algorithmus: probiere alle Belegungen durch (d.h. stelle Wahrheitswertetabelle auf)\rightarrowexponentielle Zeit
- „Automaten, Sprachen und Komplexität“: das Problem ist NP-vollständig
- nächstes Ziel:spezielle Algorithmen für syntaktisch eingeschränkte Formeln \Gamma
- Spätere Verallgemeinerung dieser Algorithmen (letzte Vorlesung des Logik-Teils von „Logik und Logikprogrammierung“) bildet Grundlage der logischen Programmierung.
Hornformeln (Alfred Horn, 1918–2001)
Definition
Eine Hornklausel hat die Form
(\lnot\bot\wedge p_1\wedge p_2\wedge ... \wedge p_n)\rightarrow qfürn\geq 0, atomare Formelnp_1 ,p_2 ,... ,p_nundqatomare Formel oderq=\bot. Eine Hornformel ist eine Konjunktion von Hornklauseln.
Schreib- und Sprechweise
- \{p_1,p_2 ,... ,p_n\}\rightarrow qfür Hornklausel $(\lnot\bot\wedge p_1 \wedge p_2 \wedge ...\wedge p_n)\rightarrow q$ insbes.- \varnothing\rightarrow qfür- \lnot\bot\rightarrow q
- \{(M_i\rightarrow q_i)| 1 \leq i\leq n\}für Hornformel- \bigwedge_{1 \leq i \leq n} (M_i\rightarrow q_i)
Bemerkung, in der Literatur auch:
- \{\lnot p_1,\lnot p_2 ,... ,\lnot p_n,q\}für- \{p_1 ,... ,p_n\}\rightarrow qmit- qatomare Formel
- \{\lnot p_1,\lnot p_2 ,... ,\lnot p_n\}für- \{p_1 ,... ,p_n\}\rightarrow\bot
- \Boxfür- \varnothing\rightarrow\bot, die „leere Hornklausel“
Markierungsalgorithmus
- Eingabe: eine endliche Menge \Gammavon Hornklauseln.
- while es gibt in \Gammaeine HornklauselM\rightarrow q, so dass allep\in Mmarkiert sind undqunmarkierte atomare Formel ist: do markiereq(in allen Hornklauseln in\Gamma)
- if \Gammaenthält eine Hornklausel der FormM\rightarrow\bot, in der allep\in Mmarkiert sind then return „unerfüllbar“ else return „erfüllbar“
Beweis einer Folgerung: Beispiel
- Ziel ist es, die folgende Folgerung zu zeigen: \{(AK\vee BK),(AK\rightarrow BK),(BK\wedge RL\rightarrow\lnot AK),RL\}\Vdash\lnot AK
- Lemma: man muß Unerfüllbarkeit der folgenden Menge zeigen: \{(AK\vee BK),(AK\rightarrow BK),(BK\wedge RL\rightarrow \lnot AK),RL,\lnot\lnot AK\}
- Dies ist keine Menge von Hornklauseln!
- Idee: ersetze BKdurch\lnot BHin allen Formeln.
- Ergebnis:
- Aus AK\vee BKwird\lnot BH\vee AK\equiv BH\rightarrow AK\equiv\{BH\}\rightarrow AK.
- Aus AK\rightarrow BKwirdAK\rightarrow\lnot BH\equiv\lnot AK\vee\lnot BH\equiv AK\wedge BH\rightarrow\bot\equiv\{AK,BH\} \rightarrow\bot.
- Aus BK\wedge RL\rightarrow\lnot AKwird\lnot BH\wedge RL\rightarrow\lnot AK\equiv BH\vee\lnot RL\vee\lnot AK\equiv RL\wedge AK\rightarrow BH\equiv\{RL,AK\}\rightarrow BH
- RL\equiv (\varnothing\rightarrow RL)
- \lnot\lnot AK\equiv (\varnothing\rightarrow AK)
 
- Aus 
- Wir müssen also zeigen, dass die folgende Menge von Hornklauseln unerfüllbar ist:
\{\{BH\}\rightarrow AK,\{AK,BH\}\rightarrow\bot,\{RL,AK\}\rightarrow BH,\varnothing\rightarrow RL,\varnothing\rightarrow AK\}
Der Markierungsalgorithmus geht wie folgt vor:
- Runde: markiere RLaufgrund der Hornklausel\varnothing\rightarrow RL
- Runde: markiere AKaufgrund der Hornklausel\varnothing\rightarrow AK
- Runde: markiere BHaufgrund der Hornklausel\{RL,AK\}\rightarrow BH
dann sind keine weiteren Markierungen möglich.
In der Hornklausel \{AK,BH\}\rightarrow\bot sind alle atomaren Formeln aus \{AK,BH\} markiert. Also gibt der Algorithmus aus, dass die Menge von Hornklauseln nicht erfüllbar ist.
Nach unserer Herleitung folgern wir, dass das Teil A heil ist.
- Der Algorithmus terminiert: in jedem Durchlauf der while-Schleife wird wenigstens eine atomare Formel markiert. Nach endlich vielen Schritten terminiert die Schleife also.
- Wenn der Algorithmus eine atomare Formelqmarkiert und wenn Beine B-Belegung ist, die\Gammaerfüllt, dann giltB(q) = 1_B. Beweis: wir zeigen induktiv übern: Wennqin einem der erstennSchleifendurchläufe markiert wird, dann giltB(q) = 1_B.
- I.A. Die Aussage gilt offensichtlich für n=0.
- I.S. werde die atomare Formel qin einem der erstennSchleifendurchläufe markiert. Dann gibt es eine Hornklausel\{p_1,p_2 ,... ,p_k\}\rightarrow q, so dassp_1 ,... ,p_kin den erstenn-1Schleifendurchläufen markiert wurden. Also giltB(p_1)=...=B(p_k) = 1_Bnach IV. DaBalle Hornformeln aus\Gammaerfüllt, gilt insbesondereB(\{p_1 ,p_2 ,... ,p_k\}\rightarrow q) = 1_Bund damitB(q) = 1_B.
- Wenn der Algorithmus „unerfüllbar“ ausgibt, dann ist \Gammaunerfüllbar. Beweis: indirekt, wir nehmen also an, dass der Algorithmus „unerfüllbar“ ausgibt,Baber eine B-Belegung ist, die\Gammaerfüllt. Sei\{p_1 ,... ,p_k\}\rightarrow\botdie Hornklausel aus\Gamma, die die Ausgabe „unerfüllbar“ verursacht (d.h. die atomaren Formelnp_1 ,... ,p_ksind markiert). Nach 2. giltB(p_1) =...=B(p_k) = 1_B, alsoB(\{p_1 ,p_2 ,... ,p_k\}\rightarrow\bot) = 0_Bim Widerspruch zur Annahme, dassBalle Hornklauseln aus\Gammaerfüllt. Also kann es keine erfüllende B-Belegung von\Gammageben.
- Wenn der Algorithmus „erfüllbar“ ausgibt, dann erfüllt die folgende B-Belegung alle Formeln aus \Gamma: $B(p_i)=\begin{cases} 1_B \quad\text{ der Algorithmus markiert } p_i \ 0_B \quad\text{ sonst} \end{cases}$ Beweis:- Sei M\rightarrow qeine beliebige Hornklausel aus\Gamma.
- Ist ein p\in Mnicht markiert, so giltB(\bigwedge_{p\in M} p) = 0_Bund damitB(M\rightarrow q) = 1_B.
- Sind alle p\in Mmarkiert, so wird auchqmarkiert, alsoB(q) = 1_Bund damitB(M\rightarrow q) = 1_B.
- Gilt q=\bot, so existiert unmarkiertesp\in M(da der Algorithmus sonst „unerfüllbar“ ausgegeben hätte), alsoB(M\rightarrow\bot) = 1_Bwie im ersten Fall. Also giltB(M\rightarrow q) = 1_Bfür alle Hornklauseln aus\Gamma, d.h.\Gammaist erfüllbar.
 
- Sei 
Satz
Sei
\Gammaendliche Menge von Hornklauseln. Dann terminiert der Markierungsalgorithmus mit dem korrekten Ergebnis.
Beweis: Die Aussagen 1.-4. beweisen diesen Satz.
Bemerkungen:
- Mit einer geeigneten Implementierung läuft der Algorithmusin linearer Zeit.
- Wir haben sogar gezeigt, dass bei Ausgabe von „erfüllbar“ eine erfüllende B-Belegung berechnet werden kann.
SLD-Resolution
Definition
Sei
\Gammaeine Menge von Hornklauseln. Eine SLD-Resolution aus\Gammaist eine Folge(M_0\rightarrow\bot,M_1\rightarrow\bot,... ,M_m\rightarrow\bot)von Hornklauseln mit
(M_0\rightarrow\bot)\in\Gamma- für alle
0\leq n<mexistiert(N\rightarrow q)\in\Gammamitq\in M_nundM_{n+1} = M_n\backslash\{q\}\cup N
Beispiel:
- \Gamma =\{\{BH\}\rightarrow AK,\{AK,BH\}\rightarrow\bot,\{RL,AK\}\rightarrow BH,\varnothing\rightarrow RL,\varnothing\rightarrow AK\}
- M_0 =\{AK,BH\}
- M_1 =M_0 \backslash\{BH\}\cup\{RL,AK\}=\{RL,AK\}
- M_2 =M_1 \backslash\{RL\}\cup\varnothing =\{AK\}
- M_3 =M_2 \backslash\{AK\}\cup\varnothing =\varnothing
Lemma A
Sei
\Gammaeine (u.U. unendliche) Menge von Hornklauseln und(M_0\rightarrow\bot, M_1\rightarrow\bot,... , M_m\rightarrow\bot)eine SLD-Resolution aus\GammamitM_m=\varnothing. Dann ist\Gammanicht erfüllbar.
Beweis:
- indirekt: angenommen, es gibt B-Belegung BmitB(N\rightarrow q) = 1_Bfür alle(N\rightarrow q)\in\Gamma.
- Wir zeigen für alle 0\leq n\leq mper Induktion über n: es gibtp\in M_nmitB(p) = 0_B(4)
- I.A.: n=0:(M_0 \rightarrow\bot,...)SLD-Resolution\Rightarrow(M_0\rightarrow\bot)\in\Gamma- \Rightarrow B(M_0\rightarrow\bot) = 1_B
- \Rightarrowes gibt- p\in M_0mit- B(p) = 0_B
 
- I.V.: sei n<mundp\in M_nmitB(p) = 0_B
- I.S.: (... ,M_n\rightarrow\bot,M_{n+ 1}\rightarrow\bot,...)SLD-Resolution\Rightarrowes gibt(N\rightarrow q)\in\GammamitM_{n+1} =M_n\backslash\{q\}\cup Nundq\in M_n. Zwei Fälle werden unterschieden:- p\not=q: dann gilt- p\in M_{n+1}mit- B(p) = 0_B
- p=q:(N\rightarrow q)\in\Gamma\Rightarrow B(N\rightarrow q) = 1_Bes gibt- p′\in N\subseteq M_{n+1}mit $B(p′)=0_B$ in jedem der zwei Fälle gilt also (4) für- n+1.
 
- Damit ist der induktive Beweis von (4) abgeschlossen.
- Mit m=nhaben wir insbesondere "es gibtp\in M_mmit $B(p) = 0_B$" im Widerspruch zuM_m=\varnothing. Damit ist der indirekte Beweis abgeschlossen.
Lemma B
Sei
\Gammaeine (u.U. unendliche) unerfüllbare Menge von Hornklauseln. Dann existiert eine SLD-Resolution(M_0\rightarrow\bot,...,M_m\rightarrow\bot)aus\GammamitM_m=\varnothing.
Beweis: Endlichkeitssatz: es gibt \Delta\subseteq\Gamma endlich und unerfüllbar. Bei Eingabe von$\Delta$ terminiert Markierungsalgorithmus mit „unerfüllbar“
- r\geq 0...Anzahl der Runden
- q_i...Atomformel, die in- iRunde markiert wird- (1\leq i\leq r)
Behauptung: Es gibt m\leq r und SLD-Resolution (M_0\rightarrow\bot,...,M_m\rightarrow\bot) aus \Delta mit M_m=\varnothing und M_n\subseteq\{q_1,q_2,... ,q_{r-n}\} f.a. 0\leq n\leq m. (5)
Beweis der Behauptung: Wir konstruieren die Hornklauseln M_i\rightarrow\bot induktiv:
- I.A.: Da der Markierungsalgorithmus mit „unerfüllbar“ terminiert, existiert eine Hornklausel (M_0\rightarrow\bot)\in\GammamitM_0\subseteq\{q_1,... ,q_{r- 0}\}.(M_0\rightarrow\bot)ist SLD-Resolution aus\Delta, die (5) erfüllt.
- I.V.: Sei n\leq rund(M_0\rightarrow\bot,... ,M_n\rightarrow\bot)SLD-Resolution, so dass (5) gilt.
- I.S.: wir betrachten drei Fälle:
- Fall M_n=\varnothing: mitm:=nist Beweis der Beh. abgeschlossen.
- Fall n=r: Nach (5) giltM_n\subseteq\{q_1,...,q_{r-n}\}=\varnothing. Mitm:=nist der Beweis der Beh. abgeschlossen.
- Fall n<rundM_n \not=\varnothing. Seikmaximal mitq_k\in M_n\subseteq\{q_1,q_2,... ,q_{r-n}\}. Also existiert(N\rightarrow q_k)\in\Delta, so dassN\subseteq\{q_1,... ,q_{k-1}\}. SetzeM_{n+1}=M_n\backslash\{q_k\}\cup N\subseteq\{q_1,... ,q_{k-1}\}\subseteq\{q_1,...,q_{r-(n+1)}\}.
 
- Fall 
Damit ist der induktive Beweis der Beh. abgeschlossen, woraus das Lemma unmittelbar folgt.
Satz
Sei
\Gammaeine (u.U. unendliche) Menge von Hornklauseln. Dann sind äquivalent:
\Gammaist nicht erfüllbar.- Es gibt eine SLD-Resolution
(M_0\rightarrow\bot,M_1\rightarrow\bot,... ,M_m\rightarrow\bot)aus\GammamitM_m=\varnothing.
Beweis: Folgt unmittelbar aus Lemmata A und B.
Beispiel: \Gamma=\{\{a,b\}\rightarrow\bot,\{a\}\rightarrow c, \{b\}\rightarrow c,\{c\}\rightarrow a,\varnothing\rightarrow b; alle SLD-Resolutionen aus$\Gamma$ kann man durch einen Baum beschreiben:

Die Suche nach einer SLD-Resolution mit M_m=\varnothing kann grundsätzlich auf zwei Arten erfolgen:
- Breitensuche:
- findet SLD-Resolution mit M_m=\varnothing(falls sie existiert), da Baum endlich verzweigend ist (d.h. die Niveaus sind endlich)
- hoher Platzbedarf, da ganze Niveaus abgespeichert werden müssen (in einem Binärbaum der Tiefe nkann es Niveaus der Größe2^ngeben)
 
- findet SLD-Resolution mit 
- Tiefensuche:
- geringerer Platzbedarf (in einem Binärbaum der Tiefe nhat jeder Ast die Länge\leq n)
- findet existierende SLD-Resolution mit M_m=\varnothingnicht immer (siehe Beispiel)
 
- geringerer Platzbedarf (in einem Binärbaum der Tiefe 
Zusammenfassung Aussagenlogik
- Das natürliche Schließen formalisiert die „üblichen“ Argumente in mathematischen Beweisen.
- Unterschiedliche Wahrheitswertebereiche formalisieren unterschiedliche Vorstellungen von „Wahrheit“.
- Das natürliche Schließen ist vollständig und korrekt für den Booleschen Wahrheitswertebereich.
- Der Markierungsalgorithmus und die SLD-Resolution sind praktikable Verfahren, um die Erfüllbarkeit von Hornformeln zu bestimmen.
Kapitel 2: Prädikatenlogik
Beispiel: Graphen
 Um über diesen Graphen Aussagen in der Aussagenlogik zu machen, verwenden wir Formeln
Um über diesen Graphen Aussagen in der Aussagenlogik zu machen, verwenden wir Formeln \varphi_{i,j} für 1\leq i,j\leq 9 mit \varphi_{i,j}=\begin{cases} \lnot\bot\quad\text{ falls} (v_i,v_j) Kante\\ \bot\quad\text{ sonst}\end{cases}
- Die aussagenlogische Formel \bigvee_{1\leq i,j\leq 9} \varphi_{i,j}sagt aus, dass der Graph eine Kante enthält.
- Die aussagenlogische Formel \bigwedge_{1\leq i\leq 9} \bigvee_{1\leq j\leq 9} \varphi_{i,j}sagt aus, dass jeder Knoten einen Nachbarn hat
- Die aussagenlogische Formel \bigvee_{1\leq i,j,k\leq 9 verschieden} \varphi_{i,j}\wedge\varphi_{j,k}\wedge\varphi_{k,i}sagt aus, dass der Graph ein Dreieck enthält. Man kann so vorgehen, wenn der Graph bekannt und endlich ist. Sollen analoge Aussagen für einen anderen Graphen gemacht werden, so ist die Kodierungsarbeit zu wiederholen.
Beispiel: Datenbanken
- Im folgenden reden wir über die Studenten und die Lehrenden in Veranstaltungen zur Theoretischen Informatik in diesem Semester. Betrachte die folgenden Aussagen:
- Jeder ist Student oder wissenschaftlicher Mitarbeiter oder Professor.
- Dietrich Kuske ist Professor.
- Kein Student ist Professor.
- Jeder Student ist jünger als jeder Professor.
- Es gibt eine Person, die an den Veranstaltungen „Logik und Logikprogrammierung“ und „Algorithmen und Datenstrukturen“ teilnimmt.
- Es gibt eine Person, die kein wissenschaftlicher Mitarbeiter ist und nicht an beiden Veranstaltungen teilnimmt.
- Jeder Student ist jünger als die Person, mit der er am besten über Informatik reden kann.
 
- Um sie in der Aussagenlogik machen zu können, müssen wir atomare Aussagen für „Hans ist Student“, „Otto ist jünger als Ottilie“ usw. einführen. Dies ist nur möglich, wenn
- alle involvierten Personen bekannt sind und fest stehen und
- es nur endlich viele involvierte Personen gibt.
 
- Sollen analoge Aussagen für das vorige oder das kommende Jahr gemacht werden, so ist die gesamte Kodierungsarbeit neu zu machen.
Kodierung in einer „Struktur“
- Grundmenge: Die Studenten und die Lehrenden in Veranstaltungen zur Theoretischen Informatik in diesem Sommersemester
- Teilmengen:
- S(x)„x ist Student“
- LuLP(x)„x nimmt an der Veranstaltung LuLP teil“
- AuD(x)„x nimmt an der Veranstaltung AuD teil“
- Pr(x)„x ist Professor“
- WM(x)„x ist wissenschaftlicher Mitarbeiter“
 
- Relationen:
- J(x,y)„x ist jünger als y“
 
- Funktion:
- f(x)ist diejenige Person (aus dem genannten Kreis), mit der x am besten über Informatik reden kann.
 
- Konstante:
- dkDietrich Kuske
 
Die in der Aussagenlogik nur schwer formulierbaren Aussagen werden nun
- Für alle xgiltS(x)\vee WM(x)\vee Pr(x)
- Pr(dk)
- Für alle xgiltS(x)\rightarrow\lnot Pr(x)
- Für alle xundygilt(S(x)\wedge Pr(y))\rightarrow J(x,y)
- Es gibt ein xmitLuLP(x)\wedge AuD(x)
- Es gibt ein xmit((\lnot LuLP(x)\vee\lnot AuD(x))\wedge\lnot WM(x))
- Für alle xgiltS(x)\rightarrow J(x,f(x))
Bemerkung: Diese Formulierungen sind auch brauchbar, wenn die Grundmenge unendlich ist. Sie sind auch unabhängig vom Jahr (im nächsten Jahr können diese Folien wieder verwendet werden).
Ziel
- Wir wollen in der Lage sein, über Sachverhalte in „Strukturen“ (Graphen, Datenbanken, relle Zahlen, Gruppen... ) zu reden.
- Dabei soll es „Relationen“ geben, durch die das Enthaltensein in einer Teilmenge oder Beziehungen zwischen Objekten ausgedrückt werden können (z.B. S(x),J(x,y),...)
- Weiter soll es „Funktionen“ geben, durch die Objekte (oder Tupel von Objekten) auf andere Objekte abgebildet werden (z.B. f)
- Nullstellige Funktionen (ohne Argumente): Konstante (z.B. dk)
Fragen
- Nach welchen Regeln bildet man korrekte Formeln?
- Was ist eine Struktur?
- Wann hat eine Aussage in einer Struktur eine Bedeutung (ist „sinnvoll“)?
- Wann „gilt“ eine Aussage in einer Struktur?
- Gibt es Formeln, die in allen Strukturen gelten?
- Kann man solche Formeln algorithmisch identifizieren? Gibt es einen Beweiskalkül wie das natürliche Schließen oder die SLD-Resolution?
- .........
Syntax der Prädikatenlogik
Formeln machen Aussagen über Strukturen. Dabei hat es keinen Sinn zu fragen, ob eine Formel, die über Studenten etc. redet, im Graphen G gilt.
Definition
Eine Signatur ist ein Tripel
\sum=(\Omega, Rel,ar), wobei\OmegaundReldisjunkte Mengen von Funktions- und Relationsnamen sind undar:\Omega\cup Rel\rightarrow\mathbb{N}eine Abbildung ist.
Beispiel: \Omega=\{f,dk\} mit ar(f) =1,ar(dk)=0 und Rel=\{S,LuLP,AuD,Pr,WM,J\} mit ar(S) =ar(LuLP) =ar(AuD) =ar(Pr) =ar(WM) =1 undar(J) = 2 bilden die Signatur der Datenbank von vorhin.
- typische Funktionsnamen: f, g, a, b...mitar(f),ar(g) > 0undar(a) =ar(b) = 0
- typische Relationsnamen: R,S,...
Definition
Die Menge der Variablen ist
Var=\{x_0,x_1 ,...\}.
Definition
Sei
\sumeine Signatur. Die MengeT_{\sum}der $\sum$-Terme ist induktiv definiert:
- Jede Variable ist ein Term, d.h.
Var\subseteq T_{\sum}- ist
f\in\Omegamitar(f)=kund sindt_1,...,t_k\in T_{\sum}, so giltf(t_1,...,t_k)\in T_{\sum}- Nichts ist $\sum$-Term, was sich nicht mittels der obigen Regeln erzeugen läßt.
Beispiel:In der Signatur der Datenbank von vorhin haben wir u.a. die folgenden Terme:
- x_1und- x_8
- f(x_0)und- f(f(x_3))
- dk()und- f(dk())- hierfür schreiben wir kürzer- dkbzw.- f(dk)
Definition
Sei
\sumSignatur. Die atomaren $\sum$-Formeln sind die Zeichenketten der Form
R(t_1,t_2,...,t_k)fallst_1,t_2,...,t_k\in T_{\sum}undR\in Relmitar(R)=koder
t_1=t_2fallst_1,t_2\in T_{\sum}oder
\bot.
Beispiel: In der Signatur der Datenbank von vorhin haben wir u.a. die folgenden atomaren Formeln:
- S(x_1)und- LuLP(f(x4))
- S(dk)und- AuD(f(dk))
Definition
Sei
\sumSignatur. $\sum$-Formeln werden durch folgenden induktiven Prozeß definiert:
- Alle atomaren $\sum$-Formeln sind $\sum$-Formeln.
- Falls
\varphiund\Psi$\sum$-Formeln sind, sind auch(\varphi\wedge\Psi),$(\varphi\vee\Psi)$ und(\varphi\rightarrow\Psi)$\sum$-Formeln.- Falls
\varphieine $\sum$-Formel ist, ist auch\lnot\varphieine $\sum$-Formel.- Falls
\varphieine $\sum$-Formel undx\in Var, so sind auch\forall x\varphiund\exists x\varphi$\sum$-Formeln.- Nichts ist $\sum$-Formel, was sich nicht mittels der obigen Regeln erzeugen läßt.
Ist die Signatur \sum aus dem Kontext klar, so sprechen wir einfach von Termen, atomaren Formeln bzw.Formeln.
Beispiel:In der Signatur der Datenbank von vorhin haben wir u.a. die folgenden Formeln:
- \forall x_0 (S(x_0)\vee WM(x_0)\vee Pr(x_0))
- Pr(dk)
- \forall x_3 (S(x_3)\rightarrow\lnot Pr(x_3))
- \forall x_0 \forall x_2 ((S(x_0)\wedge Pr(x_2))\rightarrow J(x_0,x_2))
- \exists x_1 (LuLP(x_1)\wedge AuD(x_1))
- \exists x_2 ((\lnot LuLP(x_2)\vee\lnot AuD(x_2))\wedge\lnot WM(x_2))
- \forall x_1 (S(x_1)\rightarrow J(x_1,f(x_1)))
Wir verwenden die aus der Aussagenlogik bekannten Abkürzungen, z.B. steht \varphi\leftrightarrow\Psi für (\varphi\rightarrow\Psi)\wedge(\Psi\rightarrow\varphi).
Zur verbesserten Lesbarkeit fügen wir mitunter hinter quantifizierten Variablen einen Doppelpunkt ein, z.B. steht \exists x\forall y:\varphi für \exists x\forall y\varphi
Ebenso verwenden wir Variablennamen x,$y$,$z$ u.ä.
Präzedenzen: \lnot,\forall x,\exists x binden am stärksten
Beispiel: (\lnot\forall x:R(x,y)\wedge\exists z:R(x,z))\rightarrow P(x,y,z) steht für ((\lnot(\forall x:R(x,y))\wedge\exists z:R(x,z))\rightarrow P(x,y,z))
Aufgabe
Im folgenden seien
- Pein-stelliges,- Qund- Rzwei-stellige Relationssymbole,
- anull-stelliges und- fein-stelliges Funktionssymbol und
- x,yund- zVariable.
Welche der folgenden Zeichenketten sind Formeln?
| \forall x P(a) | ja | 
| \forall x\exists y(Q(x,y)\vee R(x)) | nein | 
| \forall x Q(x,x)\rightarrow\exists x Q(x,y) | ja | 
| \forall x P(f(x))\vee\forallx Q(x,x)$ | ja | 
| \forall x(P(y)\wedge\forall y P(x)) | ja | 
| P(x) \rightarrow\exists x Q(x,P(x)) | nein | 
| \forall f\exists x P(f(x)) | nein | 
Definition
Sei
\sumeine Signatur. Die MengeFV(\varphi)der freien Variablen einer $\sum$-Formel\varphiist induktiv definiert:
- Ist
\varphiatomare $\sum$-Formel, so istFV(\varphi)die Menge der in\varphivorkommenden Variablen.
FV(\varphi\Box\Psi) =FV(\varphi)\cup FV(\Psi)für\Box\in\{\wedge,\vee,\rightarrow\}
FV(\lnot\varphi) =FV(\varphi)
FV(\exists x\varphi) =FV(\forall x\varphi) =FV(\varphi)\backslash\{x\}. Eine $\sum$-Formel\varphiist geschlossen oder ein $\sum$-Satz, wennFV(\varphi)=\varnothinggilt.
Was sind die freien Variablen der folgenden Formeln? Welche Formeln sind Sätze?
| freie Variablen? | Satz? | |
|---|---|---|
| \forall x P(a) | nein | ja | 
| \forall x Q(x,x)\rightarrow\exists x Q(x,y) | y | nein | 
| \forall x P(x)\vee\forall x Q(x,x) | nein | ja | 
| \forall x(P(y)\wedge\forall y P(x)) | y | nein | 
| \forall x(\lnot\forall y Q(x,y)\wedge R(x,y)) | y | nein | 
| \exists z(Q(z,x)\vee R(y,z))\rightarrow\exists y(R(x,y)\wedge Q(x,z)) | x,y,z | nein | 
| \exists x(\lnot P(x)\vee P(f(a))) | nein | ja | 
| P(x)\rightarrow\exists x P(x) | x | nein | 
| \exists x\forall y((P(y)\rightarrow Q(x,y))\vee\lnot P(x)) | x | nein | 
| \exists x\forall x Q(x,x) | nein | ja | 
Semantik der Prädikatenlogik
- Erinnerung: Die Frage „Ist die aussagenlogische Formel \varphiwahr oder falsch?“ war sinnlos, denn wir wissen i.a. nicht, ob die atomaren Aussagen wahr oder falsch sind.
- Analog: Die Frage „Ist die prädikatenlogische Formel \varphiwahr oder falsch?“ ist sinnlos, denn wir wissen bisher nicht, über welche Objekte, über welche „Struktur“\varphispricht.
Definition
Sei
\sumeine Signatur. Eine $\sum$-Struktur ist ein TupelA=(U_A,(f^A)_{f\in\Omega},(R^A)_{R\in Rel}), wobei
U_Aeine nichtleere Menge, das Universum,
R^A\supseteq U_A^{ar(R)}eine Relation der Stelligkeitar(R)fürR\in Relund
f^A:U_A^{ar(f)}\rightarrow U_Aeine Funktion der Stelligkeitar(f)fürf\in\Omegaist.
Bemerkung: U_A^0=\{()\}.
- Also ist a^A:U_A^0\rightarrow U_Afüra\in\Omegamitar(a)=0vollständig gegeben durcha^A(())\in U_A. Wir behandeln 0-stellige Funktionen daher als Konstanten.
- Weiterhin gilt R^A=\varnothingoderR^A=\{()\}fürR\in Relmitar(R)=0.
Beispiel: Graph
- Sei \sum=(\Omega ,Rel,ar)mit\Omega=\varnothing ,Rel=\{E\}undar(E)=2die Signatur der Graphen.
- Um den Graphen als $\sum$-Struktur A=(UA,EA)zu betrachten, setzen wir- UA=\{v_1,v_2,...,v_9\}und
- EA=\{(v_i,v_j)|(v_i,v_j) ist Kante\}
 
Im folgenden sei \sum eine Signatur, A eine $\sum$-Struktur und \rho:Var\rightarrow U_A eine Abbildung (eine Variableninterpretation).
Wir definieren eine Abbildung \rho′:T\sum\rightarrow U_A induktiv für t\in T_{\sum}:
- ist t\in Var, so setze\rho′(t) =\rho(t)
- ansonsten existieren f\in\Omegamitar(f)=kundt_1,...,t_k\in T_{\sum}mitt=f(t_1,...,t_k). Dann setze\rho′(t) =f^A(\rho′(t_1),...,\rho′(t_k)). Die Abbildung\rho′ist die übliche „Auswertungsabbildung“. Zur Vereinfachung schreiben wir auch\rho(t)an Stelle von\rho′(t).
Beispiel:
- Seien A=(R,f^A,a^A)mitf^Adie Subtraktion undanullstelliges Funktionssymbol mita^A=10. Seien weiterx,y\in Varmit\rho(x)=7und\rho(y)=-2. Dann gilt\rho(f(a,f(x,y))) =\rho(a)-(\rho(x)-\rho(y)) =a^A-(\rho(x)-\rho(y)) = 1
- Seien A= (Z,f^A,a^A)mitf^Adie Maximumbildung,anullstelliges Funktionssymbol mita^A=10. Seien weiterx,y\in Varmit\rho(x)=7und\rho(y)=-2. In diesem Fall gilt\rho(f(a,f(x,y))) = max(\rho(a),max(\rho(x),\rho(y)) = max(a^A,max(\rho(x),\rho(y))) = 10
Bemerkung: Wir müssten also eigentlich noch vermerken, in welcher Struktur \rho(t) gebildet wird – dies wird aber aus dem Kontext immer klar sein.
Für eine $\sum$-Formel \varphi definieren wir die Gültigkeit in einer $\sum$-Struktur A unter der Variableninterpretation \rho (in Zeichen: A\Vdash_\rho\varphi) induktiv:
- A\Vdash_\rho\botgilt nicht.
- A\Vdash_\rho R(t_1,...,t_k)falls- (\rho(t_1),...,\rho(t_k))\in R^Afür- R\in Relmit- ar(R)=kund- t_1,...,t_k\in T_{\sum}.
- A\Vdash_\rho t_1 =t_2falls- \rho(t_1) =\rho(t_2)für- t_1,t_2\in T_{\sum}.
Für $\sum$-Formeln \varphi und \Psi und x\in Var:
- A\Vdash_p \varphi\wedge\Psifalls- A\Vdash_p\varphiund- A\Vdash_p \Psi.
- A\Vdash_p \varphi\vee\Psifalls- A\Vdash_p\varphioder- A\Vdash_p\Psi.
- A\Vdash_p \varphi\rightarrow\Psifalls nicht- A\Vdash_p\varphioder- A\Vdash_p\Psi.
- A\Vdash_p \lnot\varphifalls- A\Vdash_p \varphinicht gilt.
- A\Vdash_p \exists x\varphifalls ???
- A\Vdash_p \forall x\varphifalls ???
Für x\in Var und a\in U_A sei \rho[x\rightarrow a]:Var\rightarrow U_A die Variableninterpretation, für die gilt (\rho[x\rightarrow a])(y) = \begin{cases} \rho(y) \quad\text{ falls } x\not=y \\ a \quad\text{ sonst } \end{cases}
- A\Vdash_p \exists x\varphifalls es- a\in U_Agibt mit- A\Vdash_{p[x\rightarrow a]}\varphi.
- A\Vdash_p \forall x\varphifalls- A\Vdash_{p[x\rightarrow a]}\varphifür alle- a\in U_A.
Definition
Sei
\sumeine Signatur,\varphieine $\sum$-Formel,\Deltaeine Menge von $\sum$-Formeln undAeine $\sum$-Struktur.
A\Vdash\varphi(Aist Modell von\varphi) fallsA\Vdash_p\varphifür alle Variableninterpretationen\rhogilt.
A\Vdash\DeltafallsA\Vdash\Psifür alle\Psi\in\Delta.
Aufgaben
- Sei Adie Struktur, die dem vorherigen Graphen entspricht
- Welche der folgenden Formeln \varphigelten inA, d.h. für welche Formeln giltA\Vdash_p\varphifür alle Variableninterpretationen\rho?- \exists x\exists y:E(x,y)
- \forall x\exists y:E(x,y)
- \exists x\forall y:(x\not=y\rightarrow E(x,y))
- \forall x\forall y:(x\not=y\rightarrow E(x,y))
- \exists x\exists y\exists z:(E(x,y)\wedge E(y,z)\wedge E(z,x))
 
- In der Prädikatenlogik ist es also möglich, die Eigenschaften vom Anfang des Kapitels auszudrücken, ohne den Graphen direkt in die Formel zu kodieren.
Definition
Sei
\sumeine Signatur,\varphieine $\sum$-Formel,\Deltaeine Menge von $\sum$-Formeln undAeine $\sum$-Struktur.
\Deltaist erfüllbar, wenn es $\sum$-StrukturBund Variableninterpretation\rho:Var\rightarrow U_Bgibt mitB\Vdash_\rho\Psifür alle\Psi\in\Delta.
\varphiist semantische Folgerung von\Delta(\Delta\Vdash\varphi)falls für alle $\sum$-StrukturenBund alle Variableninterpretationen\rho:Var\rightarrow U_Bgilt: GiltB\Vdash_\rho\Psifür alle\Psi\in\Delta, so gilt auchB\Vdash_\rho \varphi.
\varphiist allgemeingültig, fallsB\Vdash \rho\varphifür alle $\sum$-StrukturenBund alle Variableninterpretationen\rhogilt.
Bemerkung: \varphi allgemeingültig gdw. \varnothing\Vdash\varphi gdw. \{\lnot\varphi\} nicht erfüllbar. Hierfür schreiben wir auch \Vdash\varphi.
Beispiel: Der Satz \varphi=(\forall x:R(x)\rightarrow\forall x:R(f(x))) ist allgemeingültig.
Beweis: Sei \sum Signatur, so dass \varphi  $\sum$-Satz ist. Sei A $\sum$-Struktur und \rho Variableninterpretation. Wir betrachten zwei Fälle:
- Falls A\not\Vdash_\rho\forall x R(x), so giltA\Vdash_p\varphi.
- Wir nehmen nun A\Vdash_p\forall x R(x)an. Seia\in U_Abeliebig undb=f^A(a).A\Vdash_p\forall x R(x) \Rightarrow A\Vdash_{p[x\rightarrow b]} R(x) \Rightarrow RA\owns (p[x\rightarrow b])(x) = b = f^A(a) = (\rho[x\rightarrow a])(f(x)) \Rightarrow A\Vdash_{p[x\rightarrow a]}R(f(x)). Daa\in U_Abeliebig war, haben wir alsoA\Vdash_p\forall x:R(f(x)). Also gilt auch in diesem FallA\Vdash_p\varphi. DaAund\rhobeliebig waren, ist\varphisomit allgemeingültig.
Beispiel:
- Der Satz \varphi =\exists x(R(x)\rightarrow R(f(x)))ist allgemeingültig.
- Beweis: Sei \sumSignatur, so dass\varphi$\sum$-Satz ist. SeiA$\sum$-Struktur und\rhoVariableninterpretation. Wir betrachten wieder zwei Fälle:- Angenommen, R^A=U_A. Seia\in U_Abeliebig.- \Rightarrow f^A(a)\in R^A
- \Rightarrow A\Vdash_{p[x\rightarrow a]} R(f(x))
- \Rightarrow A\Vdash_{p[x\rightarrow a]} R(x)\rightarrow R(f(x))
- \Rightarrow A\Vdash_p\varphi.
 
- Ansonsten existiert a\in U_A\backslash R^A.- \Rightarrow A\not\Vdash_{p[x\rightarrow a]} R(x)
- \Rightarrow A\Vdash_{p[x\rightarrow a]} R(x)\rightarrow R(f(x))
- \Rightarrow A\Vdash_p \varphi. Da- Aund- \rhobeliebig waren, ist- \varphisomit allgemeingültig.
 
 
- Angenommen, 
Aufgabe
| allgemeingültig | erfüllbar | unerfüllbar | |
|---|---|---|---|
| P(a) | nein | ja | nein | 
| \exists x:(\lnot P(x)\vee P(a)) | ja | ja | nein | 
| P(a)\rightarrow\exists x:P(x) | ja | ja | nein | 
| P(x)\rightarrow\exists x:P(x) | ja | ja | nein | 
| \forall x:P(x)\rightarrow\exists x:P(x) | ja | ja | nein | 
| \forall x:P(x)\wedge\lnot\forall y:P(y) | nein | nein | ja | 
| \forall x:(P(x,x)\rightarrow\exists x\forall y:P(x,y)) | nein | ja | nein | 
| \forall x\forall y:(x=y\rightarrow f(x) =f(y)) | ja | ja | nein | 
| \forall x\forall y:(f(x) =f(y)\rightarrow x=y) | nein | ja | nein | 
| \exists x\exists y\exists z:(f(x) =y\wedge f(x) =z\wedge y \not=z) | nein | nein | ja | 
| \exists x\forall x:Q(x,x) | nein | ja | nein | 
Substitutionen
Definition
Eine Substitution besteht aus einer Variable
x\in Varund einem Termt\in T_{\sum}, geschrieben[x:=t].
Die Formel \varphi[x:=t] ist die Anwendung der Substitution [x:=t] auf die Formel \varphi. Sie entsteht aus \varphi, indem alle freien Vorkommen von x durch t ersetzt werden. Sie soll das über t aussagen, was \varphi über x ausgesagt hat.
Dazu definieren wir zunächst induktiv, was es heißt, die freien Vorkommen von x im Term s\in T_{\sum} zu ersetzen:
- x[x:=t] =t
- y[x:=t] =yfür- y\in Var\backslash\{x\}
- (f(t_1 ,...,t_k))[x:=t] =f(t_1 [x:=t],...t_k[x:=t])für- f\in\Omegamit- ar(f) =kund- t_1,...,t_k\in T_{\sum}
Lemma
Seien
\sumSignatur,A$\sum$-Struktur,\rho:Var\rightarrow U_AVariableninterpretation,x\in Varunds,t\in T_{\sum}. Dann gilt\rho(s[x:=t])=\rho[x\rightarrow \rho(t)](s).
Beweis: Induktion über den Aufbau des Terms s (mit \rho′=\rho[x\rightarrow \rho(t)] ):
- s=x:\rho(s[x:=t])=\rho(t) =\rho′(x) =\rho′(s)
- s\in Var\backslash\{x\}:\rho(s[x:=t])=\rho(s) =\rho′(s)
- s=f(t_1 ,...,t_k):\rho((f(t_1 ,...,t_k))[x:=t])= \rho(f(t_1[x:=t],...,t_k[x:=t]))= f^A(\rho(t_1[x:=t]),...,\rho(t_k[x:=t])) = f^A(\rho′(t_1),...,\rho′(t_k))= \rho′(f(t_1 ,...,t_k))=\rho′(s)
Die Definition von s[x:=t] kann induktiv auf $\sum$-Formeln fortgesetzt werden:
- (t_1 =t_2 )[x:=t] = (t_1 [x:=t] =t_2 [x:=t])für- t_1 ,t_2 \in T_{\sum}
- (R(t_1 ,...,t_k))[x:=t] =R(t_1 [x:=t],...,t_k[x:=t])für- R\in Relmit- ar(R) =kund- t_1 ,...,t_k\in T_{\sum}
- \bot[x:=t] =\bot
Für \sum -Formeln \varphi und \Psi und y\in Var:
- (\varphi\Box\Psi)[x:=t]=\varphi [x:=t]\Box\Psi[x:=t]für- \Box\in\{\wedge,\vee,\rightarrow\}
- (\lnot\varphi)[x:=t] = \lnot(\varphi[x:=t])
- (Qy\varphi)[x:=t] = \begin{cases} Qy\varphi[x:=t] \quad\text{ falls } x\not=y \\ Qy\varphi \quad\text{ falls } x=y \end{cases} \text{ für } Q\in\{\exists,\forall\}.
Beispiel: (\exists x P(x,f(y))\vee\lnot\forall yQ(y,g(a,h(z))))[y:=f(u)] = (\exists x P(x,f(f(u)))\vee\lnot\forall yQ(y,g(a,h(z))))
\varphi [x:=t] „soll das über t aussagen, was \varphi über x ausgesagt hat.“
Gegenbeispiel: Aus \exists y Mutter(x) =y mit Substitution [x:=Mutter(y)] wird \exists y Mutter$(Mutter(y)) =y$.
Definition
Sei
[x:=t]Substitution und\varphi$\sum$-Formel. Die Substitution[x:=t]heißt für\varphizulässig, wenn für alley\in Vargilt:yVariable int\Rightarrow\varphienthält weder\exists ynoch\forall y
Lemma
Sei
\sumSignatur, A $\sum$-Struktur,\rho:Var\rightarrow U_AVariableninterpretation,x\in Varundt\in T_{\sum}. Ist die Substitution[x:=t]für die $\sum$-Formel\varphizulässig, so giltA\Vdash_p\varphi [x:=t]\Leftrightarrow A\Vdash_{p[x\rightarrow \rho(t)]}\varphi.
Beweis: Induktion über den Aufbau der Formel \varphi (mit \rho'=\rho[x\rightarrow \rho(t)]):
- \varphi = (s_1 =s_2):- A\Vdash_p(s_1 =s_2)[x:=t] \Leftrightarrow A\Vdash_p s_1[x:=t] =s_2[x:=t]
- \Leftrightarrow \rho(s_1[x:=t]) =\rho(s_2[x:=t])\Leftrightarrow \rho'(s_1) =\rho'(s_2)
- \Leftrightarrow A\Vdash_{p′} s_1 =s_2
- andere atomare Formeln analog
 
- \varphi =\varphi_1\wedge\varphi_2:- A\Vdash_p(\varphi_1\wedge\varphi_2)[x:=t] \Leftrightarrow A\Vdash_p\varphi_1 [x:=t]\wedge\varphi_2[x:=t]
- \Leftrightarrow A\Vdash_p\varphi_1[x:=t]und- A\Vdash_p\varphi_2[x:=t]
- \Leftrightarrow A\Vdash_{p′}\varphi_1und- A\Vdash_{p′}\varphi_2
- \Leftrightarrow A\Vdash_{p′}\varphi_1\wedge\varphi_2
- \varphi=\varphi_1\vee\varphi_2,\varphi =\varphi_1\rightarrow\varphi_2und- \varphi=\lnot\psianalog
 
- \varphi=\forall y\psi:- Wir betrachten zunächst den Fall x=y:- A\Vdash_p(\forall x\psi)[x:=t]\Leftrightarrow A\Vdash_p\forall x\psi \Leftrightarrow A\Vdash_{p′}\forall x\psi(denn- x\not\in FV(\forall x\psi))
 
- Jetzt der Fall x\not=y:- Für a\in U_Asetze\rho_a=\rho[y\rightarrow a]. Da[x:=t]für\varphizulässig ist, kommtyintnicht vor. Zunächst erhalten wir
- \rho_a[x\rightarrow \rho_a(t)] = \rho_a[x\rightarrow \rho(t)]da- ynicht in- tvorkommt
- =\rho[y\rightarrow a][x\rightarrow \rho(t)] = \rho[x\rightarrow \rho(t)][y\rightarrow a]da- x\not=y
- Es ergibt sich A\Vdash_p(\forall y\psi)[x:=t]\Leftrightarrow A\Vdash_p\forall y(\psi[x:=t])(wegenx\not=y)
- \Leftrightarrow A\Vdash_{pa}\psi[x:=t]für alle- a\in U_A
- \Leftrightarrow A\Vdash_{pa[x\rightarrow \rho_a(t)]}\psifür alle- a\in U_A
- \Leftrightarrow A\Vdash_{p[x\rightarrow \rho(t)][y\rightarrow a]}\psifür alle- a\in U_A
- \Leftrightarrow A\Vdash_{p[x\rightarrow \rho(t)]}\forall y\psi
 
- Für 
 
- Wir betrachten zunächst den Fall 
- \varphi=\exists y\psi: analog
Natürliches Schließen
Wir haben Regeln des natürlichen Schließens für aussagenlogische Formeln untersucht und für gut befunden. Man kann sie natürlich auch für prädikatenlogische Formeln anwenden.
Beispiel: Für alle $\sum$-Formel \varphi und \psi gibt es eine Deduktion mit Hypothesen in \{\lnot\varphi\wedge\lnot\psi\} und Konklusion \lnot(\varphi\vee\psi): 
Korrektheit
Können wir durch mathematische Beweise zu falschen Aussagen kommen? Können wir durch das natürliche Schließen zu falschen Aussagen kommen? Existiert eine Menge \Gamma von $\sum$-Formeln und eine $\sum$-Formel \varphi mit \Gamma\vdash\varphi und
\Gamma\not\Vdash\varphi?
Frage: Gilt \Gamma\vdash\varphi\Rightarrow \Gamma\Vdash\varphi bzw. \varphi ist Theorem \Rightarrow\varphi ist allgemeingültig?
Der Beweis des Korrektheitslemmas für das natürliche Schließen kann ohne große Schwierigkeiten erweitert werden. Man erhält
Lemma V0
Sei
\sumeine Signatur,\Gammaeine Menge von $\sum$-Formeln und\varphieine $\sum$-Formel. Sei weiterDeine Deduktion mit Hypothesen in\Gammaund Konklusion\varphi, die die Regeln des natürlichen Schließens der Aussagenlogik verwendet. Dann gilt\Gamma\Vdash\varphi.
Umgekehrt ist nicht zu erwarten, dass aus \Gamma\Vdash\varphi folgt, dass es eine Deduktion mit Hypothesen in \Gamma und Konklusion \varphi gibt, denn die bisher untersuchten Regeln erlauben keine Behandlung von =,\forall bzw. \exists. Solche Regeln werden wir jetzt einführen.
Zunächst kümmern wir uns um Atomformeln der Form t_1 =t_2. Hierfür gibt es die zwei Regeln (R) und (GfG):
Reflexivität (ausführlich)
Für jeden Termt ist
\frac{}{t=t}eine hypothesenlose Deduktion mit Konklusiont=t.
Gleiches-für-Gleiches in mathematischen Beweisen
,,Zunächst zeige ich, dass
sdie Eigenschaft\varphihat:... Jetzt zeige ichs=t:... Also haben wir gezeigt, dasstdie Eigenschaft\varphihat. qed''Gleiches-für-Gleiches (ausführlich) Seien
sundtTerme und\varphiFormel, so dass die Substitutionen[x:=s]und[x:=t]für\varphizulässig sind. SindDundEDeduktionen mit Hypothesen in\Gammaund Konklusionen\varphi[x:=s]bzw.s=t, so ist das folgende eine Deduktion mit Hypothesen in\Gammaund Konklusion\varphi[x:=t]:Gleiches-für-Gleiches (Kurzform)
Bedingung: über keine Variable aus
sodertwird in\varphiquantifiziert
Die folgenden Beispiele zeigen, dass wir bereits jetzt die üblichen Eigenschaften der Gleichheit (Symmetrie, Transitivität, Einsetzen) folgern können.
Beispiel: Seien x Variable, s Term ohne x und \varphi=(x=s).
- Da \varphiquantorenfrei ist, sind die Substitutionen[x:=s]und[x:=t]für\varphizulässig.
- Außerdem gelten \varphi[x:=s] = (s=s)und\varphi[x:=t] = (t=s).
- Also ist das folgende eine Deduktion:  
- Für alle Termesundthaben wir also \{s=t\}\vdash t=s.
Beispiel: Seien x Variable, r,s und t Terme ohne x und \varphi=(r=x).
- Da \varphiquantorenfrei ist, sind die Substitutionen[x:=s]und[x:=t]für\varphizulässig.
- Außerdem gelten \varphi[x:=s]=(r=s)und\varphi[x:=t]=(r=t).
- Also ist das folgende eine Deduktion:  
- Für alle Terme r,sundthaben wir also\{r=s,s=t\}\vdash r=t.
Beispiel: Seien x Variable, s und t Terme ohne x,$f$ einstelliges Funktionssymbol und \varphi=(f(s)=f(x)).
- Da \varphiquatorenfrei ist, sind die Substitutionen[x:=s]und[x:=t]für\varphizulässig.
- Außerdem gelten \varphi[x:=s]=(f(s)=f(s))und\varphi[x:=t]=(f(s)=f(t)).
- Also ist das folgende eine Deduktion:  
Lemma V1
Sei
\sumeine Signatur,\Gammaeine Menge von $\sum$-Formeln und\varphieine $\sum$-Formel. Sei weiterDeine Deduktion mit Hypothesen in\Gammaund Konklusion\varphi, die die Regeln des natürlichen Schließens der Aussagenlogik,(R)und(GfG)verwendet. Dann gilt\Gamma\Vdash\varphi.
Beweis: Wir erweitern den Beweis des Korrektheitslemmas bzw. des Lemmas V0, der Induktion über die Größe der Deduktion D verwendete.
- Wir betrachten nur den Fall, dass Ddie folgende Form hat: 
- Da dies Deduktion ist, sind die Substitutionen [x:=s]und[x:=t]für\varphizulässig, d.h. in\varphiwird über keine Variable aussodertquantifiziert.
- Eund- Fkleinere Deduktionen- \Rightarrow\Gamma\Vdash\varphi[x:=s]und- \Gamma\Vdash s=t
- Seien A $\sum$-Struktur und \rhoVariableninterpretation mitA\Vdash_p\gammafür alle\gamma\in\Gamma.- \Rightarrow A\Vdash_p\varphi[x:=s]und- A\Vdash_p s=t
- \Rightarrow A\Vdash_{p[x\rightarrow \rho(s)]}\varphiund- \rho(s) =\rho(t)
- \Rightarrow A\Vdash_{p[x\rightarrow \rho(t)]}\varphi
- \Rightarrow A\Vdash_p \varphi[x:=t]
 
- Da Aund\rhobeliebig waren mitA\Vdash_p\gammafür alle\gamma\in\Gammahaben wir\Gamma\Vdash\varphi[x:=t]gezeigt.
\forall in math. Beweisen
Ein mathematischer Beweis einer Aussage „für alle x gilt $\varphi$“ sieht üblicherweise so aus:
"Sei x beliebig, aber fest. Jetzt zeige ich \varphi (hier steckt die eigentliche Arbeit). Da x beliebig war, haben wird „für alle x gilt $\varphi$“ gezeigt. qed“
\forall-EinführungSei
Deine Deduktion mit Hypothesen in\Gammaund Konklusion\varphiund seixeine Variable, die in keiner Formel aus\Gammafrei vorkommt. Dann ist das folgende eine Deduktion mit Hypothesen in\Gammaund Konklusion\forall x\varphi: \frac{\phi}{\forall x\varphi}Bedingung:
xkommt in keiner Hypothese frei vor
Lemma V2
Sei
\sumeine Signatur,\Gammaeine Menge von $\sum$-Formeln und\varphieine $\sum$-Formel. Sei weiterDeine Deduktion mit Hypothesen in\Gammaund Konklusion\varphi, die die Regeln des natürlichen Schließens der Aussagenlogik, (R), (GfG) und (\forall-I) verwendet. Dann gilt\Gamma\Vdash\varphi.
Beweis: Betrachte die folgende Deduktion D
- Insbesondere ist xkeine freie Variable einer Formel aus\Gammaund es gilt nach IV\Gamma\Vdash\varphi
- Sei nun A$\sum$-Struktur und\rhoVariableninterpretation mitA\Vdash_p yfür alley\in\Gamma.
- Zu zeigen ist A\Vdash_p \forall x\varphi:- Sei also a\in U_Abeliebig.
- \Rightarrowfür alle- y\in\Gammagilt- A\Vdash_{p[x\rightarrow a]} yda- x\not\in FV(y)und- A\Vdash_p y
- \Rightarrow A\Vdash_{\rho[x\rightarrow a]}\varphi
- Da a\in U_Abeliebig war, haben wirA\Vdash_\rho\forall x\varphigezeigt
 
- Sei also 
- Da Aund\rhobeliebig waren mitA\Vdash_\rho\Gammafür alle\gamma\in\Gammahaben wir also\Gamma\Vdash\forall x\varphigezeigt.
\forall -Elimination in math. Beweisen
Ein mathematischer Beweis einer Aussage „t erfüllt $\varphi$“ kann so aussehen:
„Zunächst zeige ich \forall x\varphi (hier steckt die eigentliche Arbeit). Damit erfüllt insbesondere t die Aussage$\varphi$ , d.h., wir haben „t erfüllt $\varphi$“ gezeigt. qed“
\forall-EliminationSei
Deine Deduktion mit Hypothesen in\Gammaund Konklusion\forall x\varphiund seit Term, so dass Substitution [x:=t] für\varphizulässig ist. Dann ist das folgende eine Deduktion mit Hypothesen in\Gammaund Konklusion\varphi[x:=t]:\frac{\forall x\varphi}{\varphi[x:=t]}Bedingung: über keine Variable aus
twird in\varphiquantifiziert
Lemma V3
Sei
\sumeine Signatur,\Gammaeine Menge von $\sum$-Formeln und\varphieine $\sum$-Formel. Sei weiterDeine Deduktion mit Hypothesen in\Gammaund Konklusion\varphi, die die Regeln des natürlichen Schließens der Aussagenlogik, (R), (GfG), ($\forall$-I) und ($\forall$-E) verwendet. > Dann gilt\Gamma\Vdash\varphi.
Beweis: Analog zum Beweis von Lemma V2.
\exists in math. Beweisen
Ein Beweis von „\sigma gilt“ kann so aussehen:
„Zunächst zeige ich \exists x\varphi (hier steckt Arbeit). Jetzt zeige ich, dass \sigma immer gilt, wenn$\varphi$ gilt (mehr Arbeit). Damit gilt \sigma. qed“
\exists-EliminationSei
\Gammaeine Menge von Formeln, die die Variablexnicht frei enthalten und enthalte die Formel\sigmadie Variabelxnicht frei. WennDeine Deduktion mit Hypothesen in\Gammaund Konklusion\exists x\varphiundEeine Deduktion mit Hypothesen in $\Gamma $\cup${\varphi}$ und Konklusion\sigmaist, dann ist das folgende eine Deduktion mit Hypothesen in\Gammaund Konklusion\sigma:\frac{\exists x\varphi \quad\quad \sigma}{\sigma}Bedingung:
xkommt in den Hypothesen und in\sigmanicht frei vor
Lemma V4 Sei
\sigmaeine Signatur,\Gammaeine Menge von $\sum$-Formeln und\varphieine\sigma-Formel. Sei weiterDeine Deduktion mit Hypothesen in\Gammaund Konklusion\varphi, die die Regeln des natürlichen Schließens der Aussagenlogik, (R), (GfG), ($\forall$-I), ($\forall$-E) und ($\exists$-E) verwendet. Dann gilt\Gamma\Vdash\varphi.
Beweis: Sei D die folgende Deduktion
- Insbesondere kommt xin den Formeln aus\Gamma\cup\{\sigma\}nicht frei vor. Außerdem gelten nach IV\Gamma\Vdash\exists x\varphiund\Gamma\cup\{\varphi\}\Vdash\sigma.
- Sei nun A$\sigma$-Struktur und\rhoVariableninterpretation mitA\Vdash_\rho\Gammafür alle\gamma\in\Gamma.
- Zu zeigen ist A\Vdash_\rho\sigma:- Wegen A\Vdash_\rho\exists x\varphiexistierta\in U_AmitA\Vdash_{\rho[x\rightarrow a]}\varphi.
- xkommt in Formeln aus- \Gammanicht frei vor- \Rightarrow A\Vdash_{\rho[x\rightarrow a]}\gammafür alle- \gamma\in\Gamma.
- Aus \Gamma\cup\{\varphi\}\Vdash\sigmafolgtA\Vdash_{\rho[x\rightarrow a]}\sigma.
- Da x\not\in FV(\sigma)erhalten wirA\Vdash_\rho \sigma.
 
- Wegen 
- Da Aund\rhobeliebig waren mitA\Vdash_\rho\gammafür alle\gamma\in\Gammahaben wir also\Gamma\Vdash\sigmagezeigt.
\exists -Einführung in math. Beweisen
Ein mathematischer Beweis einer Aussage „es gibt ein x, das \varphi erfüllt“ sieht üblicherweise so aus: „betrachte dieses t (hier ist Kreativität gefragt). Jetzt zeige ich, daß t\varphi erfüllt (u.U. harte Arbeit). Also haben wir „es gibt ein x, das \varphi erfüllt“ gezeigt. qed“
\exists-EinführungSei die Substitution
[x:=t]für die Formel\varphizulässig. Sei weiterDeine Deduktion mit Hypothesen in\Gammaund Konklusion\varphi[x:=t]. Dann ist das folgende eine Deduktion mit Hypothesen in\Gammaund Konklusion\exists x\varphi:\frac{\varphi[x:=t]}{\exists x\varphi}Bedingung: über keine Variable in
twird in\varphiquantifiziert
Korrektheitslemma für das natürliche Schließen in der Prädikatenlogik
Sei
\sigmaeine Signatur,\Gammaeine Menge von $\sum$-Formeln und\varphieine\sigma-Formel. Sei weiterDeine Deduktion mit Hypothesen in\Gammaund Konklusion\varphi, die die Regeln des natürlichen Schließens der Aussagenlogik, (R), (GfG), ($\forall$-I), ($\forall$-E), (\exists-E) und (\exists-I) verwendet. Dann gilt\Gamma\Vdash\varphi.
Beweis: analog zu obigen Beweisen.
Regeln des natürlichen Schließens (Erweiterung)
- (R):\frac{}{t=t}
- (GfG): \frac{\varphi[x:=s] \quad\quad s=t}{\varphi[x:=t]}(über keine Variable aussodertwird in\varphiquantifiziert)
- ($\forall$-I): \frac{\varphi}{\forall x\varphi}(x nicht frei in Hypothesen)
- ($\forall$-E): \frac{\forall x\varphi}{\varphi[x:=t]}(über keine Variable austwird in\varphiquantifiziert)
- ($\exists$-I): \frac{\varphi [x:=t]}{\exists x\varphi}(über keine Variable austwird in\varphiquantifiziert)
- ($\exists$-I): \frac{\exists x\varphi\quad\quad \sigma}{\sigma}(xkommt in Hypothesen und\sigmanicht frei vor)
Definition
Für eine Menge
\Gammavon $\sum$-Formeln und eine $\sum$-Formel\varphischreiben wir\Gamma\vdash\varphiwenn es eine Deduktion gibt mit Hypothesen in\Gammaund Konklusion\varphi. Wir sagen „\varphiist eine syntaktische Folgerung von $\Gamma$“. Eine Formel\varphiist ein Theorem, wenn\varnothing\vdash\varphigilt.
Bemerkung: \Gamma\vdash\varphi sagt (zunächst) nichts über den Inhalt der Formeln in \Gamma\cup\{\varphi\} aus, sondern nur über den Fakt, dass \varphi mithilfe des natürlichen Schließens aus den Formeln aus \Gamma hergeleitet werden kann.
Ebenso sagt „\varphi ist Theorem“ nur, dass \varphi abgeleitet werden kann, über „Wahrheit“ sagt dieser Begriff (zunächst) nichts aus.
Wir haben aber "en passant" das folgende gezeigt:
Korrektheitssatz
Für eine Menge von $\sum$-Formeln
\Gammaund eine $\sum$-Formel\varphigilt\Gamma\vdash\varphi \Rightarrow \Gamma\Vdash\varphi.
Beispiel: Seien \varphi Formel und x Variable. Dann gelten \{\lnot\exists x\varphi\}\Vdash\forall x\lnot\varphi und \{\forall x\lnot\varphi\}\Vdash\lnot\exists x\varphi.
Beispiel: Seien \varphi Formel und x Variable. Dann gelten \{\lnot\forall x\varphi\}\Vdash \exists x\lnot\varphi und \{\exists x\lnot\varphi\}\Vdash\lnot\forall x\varphi.
Vollständigkeit
Können wir durch mathematische Beweise zu allen korrekten Aussagen kommen? Können wir durch das natürliche Schließen zu allen korrekten Aussagen kommen?
Existiert eine Menge \Gamma von $\sum$-Formeln und eine $\sum$-Formel \varphi mit \Gamma\Vdash\varphi und \Gamma\not\vdash\varphi?
Frage: Gilt \Gamma\Vdash\varphi \Rightarrow \Gamma\vdash\varphi bzw. \varphi ist allgemeingültig \Rightarrow\varphi ist Theorem?
Plan:
- z.z. ist \Gamma\Vdash\varphi \Rightarrow \Gamma\vdash\varphi.
- dies ist äquivalent zu \Gamma\not\vdash\varphi \Rightarrow \Gamma\not\Vdash\varphi.
- hierzu geht man folgendermaßen vor:
- \Gamma\not\vdash\varphi
- \Leftrightarrow \Gamma\cup\{\lnot\varphi\}konsistent
- \Rightarrow \exists\Delta\supseteq\Gamma\cup\{\lnot\varphi\}maximal konsistent
- \Rightarrow \exists\Delta^+ \supseteq\Deltamaximal konsistent mit Konkretisierung
- \Rightarrow \Delta^+erfüllbar
- \Rightarrow \Deltaerfüllbar
- \Rightarrow \Gamma\cup\{\lnot\varphi\}erfüllbar
- \Leftrightarrow \Gamma\cup\{\lnot\varphi\}
 
Definition
Eine Menge
\Deltavon Formeln hat Konkretisierungen, wenn für alle\exists x\varphi\in\Deltaein variablenloser Termtexistiert mit\varphi[x:=t]\in\Delta.
Satz
Sei
\Deltaeine maximal konsistente Menge von $\sum$-Formeln. Dann existiert eine Signatur\sum^+ \supseteq\sumund eine maximal konsistente Menge von $\sum^+$-Formeln mit Konkretisierungen, so dass\Delta\subseteq\Delta^+.
Beweis: Wir konstruieren induktiv Signaturen \sum_n, maximal konsistente Menge von $\sum_n$-Formeln \Delta_n und konsistente Mengen von $\sum_{n+1}$-Formeln \Delta′_{n+1} mit
- \sum =\sum_0 \subseteq\sum_1 \subseteq\sum_2...und
- $\Delta = \Delta_0 \subseteq \Delta′_1 \subseteq\Delta_1 \subseteq\Delta′_2...$ und setzen dann
- \sum^+ =\bigcup_{n\geq 0} \sum_nund- \Delta^+ = \bigcup_{n\geq 0} \Delta_n
- IA: \sum_0 := \sum,\Delta_0:=\Delta
- IV: Sei n\geq 0und\Delta_nmaximal konsistente Menge von $\sum_n$-Formeln.\psi=\exists x\varphi, ein „neues“ Konstantensymbolc_{\psi}
- IS: \sum_{n+1}: alle Symbole aus\sum_nund, für jede Formel\psi\in\Delta_nder Form\Delta′_{n+1}:= \Delta_n\cup\{\varphi[x:=c_{\psi}]|\psi=\exists x\varphi\in\Delta_n\}- ohne Beweis: \Delta′_{n+1}ist konsistent
- Idee: Ist \varphi$\sum_n$-Formel mit\Delta′_{n+1}\vdash\varphi, so gilt\Delta_n\vdash\varphi.
- Konsistenz von \Delta′_{n+1}folgt mit\varphi=\bot
- Analog zum Satz aus Vorlesung 4 existiert \Delta_{n+1}\supseteq \Delta'_{n+1}maximal konsistent
 
- ohne Beweis: 
- Damit ist die Konstruktion der Signaturen \sum_nund der maximal konsistenten Mengen\Delta_nvon $\sum_n$-Formeln abgeschlossen.
- noch z.z.: \Delta^+hat Konkretisierungen und ist maximal konsistent- \Delta^+hat Konkretisierungen: Sei- \psi=\exists x\varphi\in\Delta^+- \Rightarrowes gibt- n\geq 0mit- \psi\in\Delta_n
- \Rightarrow \varphi[x:=c_{\psi}]\in\Delta′_{n+1}\subseteq \Delta_{n+1}\subseteq\Delta^+.
 
- Konsistenz: (indirekt) angenommen, \Delta^+\vdash\bot- Da jede Deduktion endlich ist, existiert \Gamma\subseteq\Delta^+endlich mit\Gamma\vdash\bot.
- \Rightarrowes gibt- n\geq 0mit- \Gamma\subseteq\Delta_n
- \Rightarrow \Delta_n\vdash\bot- im Widerspruch zur Konsistenz von- \Delta_n.
 
- Da jede Deduktion endlich ist, existiert 
- maximale Konsistenz: (indirekt) angenommen, \Delta^+ist nicht maximal konsistent- \Rightarrowes gibt- \Gamma\not\subseteq\Delta^+konsistent
- \Rightarrowes gibt- \varphi\in\Gamma\backslash\Delta^+
- \Rightarrow- \Delta^+\cup\{\varphi\}\subseteq\Gammakonsistent
- \varphiist $\sum^+$-Formel- \Rightarrowes gibt- n\geq 0, so dass- \varphieine $\sum_n$-Formel ist.
- \Delta_nmaximal konsistente Menge von $\sum_n$-Formeln
- \Rightarrow- \varphi\in\Delta_n\subseteq\Delta^+oder- \lnot\varphi\in\Delta_n\subseteq\Delta^+
- \Rightarrow- \lnot\varphi\in\Delta^+\subseteq\Gamma
- Also \varphi,\lnot\varphi\in\Gamma, im Widerspruch zur Konsistenz von\Gamma.
 
 
Satz
Sei
\Delta^+maximal konsistente Menge von $\sum^+$-Formeln mit Konkretisierungen. Dann ist\Delta^+erfüllbar.
Beweisidee: Sei T die Menge der variablenlosen $\sum^+$-Terme. Auf T definieren wir eine Äquivalenzrelation ∼ durch $s∼t\Leftrightarrow \Delta^+\vdash(s=t)\Leftrightarrow (s=t)\in\Delta^+$
Sei A die folgende $\sum^+$-Struktur:
- U_A:=T/∼ist die Menge der $∼$-Äquivalenzklassen
- R^A=\{([t_1],...,[t_k])|t_1 ,...,t_k\in T,R(t_1,...,t_k)\in\Delta^+\}für alle Relationssymbole R aus- \sum^+
- f^A([t_1],...,[t_k]) = [f(t_1,...,t_k)]für alle- t_1,...,t_k\in Tund alle Funktionssymbole- faus- \sum^+(Bemerkung: dies ist wohldefiniert) Dann gilt tatsächlich- A\Vdash\Delta^+.
Satz: Vollständigkeitssatz der Prädikatenlogik
Sei
\Gammaeine Menge von $\sum$-Formeln und\varphieine $\sum$-Formel. Dann gilt\Gamma\Vdash\varphi \Rightarrow \Gamma\vdash\varphi. Insbesondere ist jede allgemeingültige Formel ein Theorem.
Beweis:indirekt
- \Gamma\not\vdash\varphi
- \Gamma\cup\{\lnot\varphi\}konsistent
- \Gamma\cup\{\lnot\varphi\}erfüllbar
- \exists\Delta\supseteq\Gamma\cup\{\lnot\varphi\}maximal konsistent
- \exists\Delta^+\supseteq\Deltamaximal konsistent mit Konkretisierungen
- \Delta^+erfüllbar
- \Deltaerfüllbar
- \Gamma\not\Vdash\varphi
Bemerkung
- Dieser Satz ist (im wesentlichen) der berühmte Gödelsche Vollständigkeitssatz von 1930.
- Der obige Beweis wurde von Leon Henkin 1949 veröffentlicht.
Wir haben gleichzeitig gezeigt:
Satz
Sei
\Gammahöchstens abzählbar unendliche und konsistente Menge von Formeln. Dann hat\Gammaein höchstens abzählbar unendliches Modell.
Beweis: \Gamma konsistent heißt \Gamma\not\vdash\bot. Obiger Beweis gibt ein Modell A von \Gamma\cup\{\lnot\bot\} an. Wir zeigen, dass diese Struktur A höchstens abzählbar unendlich ist:
- Sei \sumSignatur der Relations- und Funktionssymbole aus\Gamma.
- |\Gamma|\leq \mathbb{N}_0 \Rightarrow |\sum|\leq \mathbb{N}_0
- \Rightarrow |\sum_n|\leq \mathbb{N}_0und- |\Delta_n|\leq \mathbb{N}_0für alle- n\geq 0
- \Rightarrow |\sum^+|,|\Delta^+| \leq\mathbb{N}_0
- \Rightarrow |T| \leq\mathbb{N}_0
- \Rightarrow Ahat- \leq\mathbb{N}_0viele Elemente
- \Rightarrow \Gamma\cup\{\lnot\bot\}hat ein höchstens abzählbar unendliches Modell
- \Rightarrow \Gammahat ein höchstens abzählbar unendliches Modell
Vollständigkeit und Korrektheit für die Prädikatenlogik
Satz
Seien
\Gammaeine Menge von $\sum$-Formeln und\varphieine $\sum$-Formel. Dann gilt\Gamma\vdash\varphi\Leftrightarrow \Gamma\Vdash\varphi. Insbesondere ist eine $\sum$-Formel genau dann allgemeingültig, wenn sie ein Theorem ist.
Beweis: Folgt unmittelbar aus Korrektheitssatz und Vollständigkeitssatz.
Folgerung 1: Kompaktheit
Satz
Seien
\Gammaeine u.U. unendliche Menge von $\sum$-Formeln und\varphieine $\sum$-Formel mit\Gamma\Vdash\varphi. Dann existiert\Gamma'\subseteq\Gammaendlich mit\Gamma'\Vdash\varphi.
Beweis: \Gamma\Vdash\varphi
- \Gamma\vdash\varphi(nach dem Vollständigkeitssatz)
- es gibt Deduktion von \varphimit Hypothesen\gamma_1,...,\gamma_n\in\Gamma
- \Gamma′=\{\gamma_1,...,\gamma_n\}\subseteq\Gammaendlich mit- \Gamma′\vdash\varphi
- \Gamma′\vdash\varphi(nach dem Korrektheitssatz).
Folgerung (Kompaktheits- oder Endlichkeitssatz)
Sei
\Gammaeine u.U. unendliche Menge von $\sum$-Formeln. Dann gilt\Gammaerfüllbar\Leftrightarrow \forall\Gamma′\subseteq\Gammaendlich:\Gamma′erfüllbar
Beweis:
- \Gammaunerfüllbar
- \Leftrightarrow \Gamma\cup\{\lnot\bot\}unerfüllbar
- \Leftrightarrow \Gamma\Vdash\bot
- \Leftrightarrowes gibt- \Gamma′\subseteq\Gammaendlich:- \Gamma′\Vdash\bot
- \Leftrightarrowes gibt- \Gamma′\subseteq\Gammaendlich:- \Gamma′\cup\{\lnot\bot\}unerfüllbar
- \Leftrightarrowes gibt- \Gamma′\subseteq\Gammaendlich:- \Gamma′unerfüllbar
Satz
Sei
\Deltaeine u.U. unendliche Menge von $\sum$-Formeln, so dass für jedesn\in\mathbb{N}eine endliche StrukturA_nmitA_\Vdash\Deltaexistiert, die wenigstensnElemente hat. Dann existiert eine unendliche StrukturAmitA\Vdash\Delta.
Beweis: für n\in\mathbb{N} setze \varphi_n=\exists x_1 \exists x_2 ...\exists x_n \bigwedge_{1\leq i< j \leq n} x_i \not= x_j
- und \Gamma =\Delta\cup\{\varphi_n | n\geq 0\}.
- Für \Gamma′\subseteq\Gammaendlich existiertn\in\mathbb{N}mit\varphi_m\not\in\Gamma′für allem\geq n
- \Rightarrow A_n\Vdash\Gamma′, d.h. jede endliche Teilmenge von- \Gammaist erfüllbar.
- \Rightarrowes gibt Struktur- Amit- A\Vdash\Gamma
- \RightarrowA hat- \geq nElemente (für alle- n\in\mathbb{N})
Folgerung 2: Löwenheim-Skolem
Frage: Gibt es eine Menge
\Gammavon $\sum$-Formeln, so dass für alle StrukturenAgilt:A\Vdash\Gamma \Leftrightarrow A\cong (\mathbb{R},+,*, 0 , 1 )?
Satz von Löwenheim-Skolem
Sei
\Gammaerfüllbare und höchstens abzählbar unendliche Menge von $\sum$-Formeln. Dann existiert ein höchstens abzählbar unendliches Modell von\Gamma.
Beweis:
- Gammaerfüllbar- \Rightarrow \Gamma\not\Vdash\bot
- \Rightarrow- \Gamma\not\vdash\bot, d.h.- \Gammakonsistent
- \Rightarrow \Gammahat ein höchstens abzählbar unendliches Modell.
Die Frage auf der vorherigen Folie muß also verneint werden:
- angenommen, \Gammawäre eine solche Menge
- \Rightarrow |\Gamma|\leq \mathbb{N}_0
- \Rightarrow \Gammahat ein höchstens abzählbar unendliches Modell- A
- \Rightarrow A\not\cong (\mathbb{R},+,*, 0 , 1 )
Folgerung 3: Semi-Entscheidbarkeit
Satz
Die Menge der allgemeingültigen $\sum$-Formeln ist semi-entscheidbar.
Beweis:Sei$\varphi$ $\sum$-Formel. Dann gilt
- \varphiallgemeingültig
- \Leftrightarrow \varphiTheorem
- \LeftrightarrowEs gibt hypothesenlose Deduktion mit Konklusion- \varphi
Ein Semi-Entscheidungsalgorithmus kann also folgendermaßen vorgehen:
Teste für jede Zeichenkette w nacheinander, ob sie hypothesenlose Deduktion mit Konklusion \varphi ist. Wenn ja, so gib aus „\varphi ist allgemeingültig“. Ansonsten gehe zur nächsten Zeichenkette über.
Der Satz von Church
Jetzt zeigen wir, daß dieses Ergebnis nicht verbessert werden kann: Die Menge der allgemeingültigen $\sum$-Formeln ist nicht entscheidbar.
Wegen \varphi allgemeingültig \Leftrightarrow\lnot\varphi unerfüllbar reicht es zu zeigen, dass die Menge der erfüllbaren Sätze nicht entscheidbar ist.
Genauer zeigen wir dies sogar für „Horn-Formeln“:
Definition
Eine Horn-Formel ist eine Konjunktion von $\sum$-Formeln der Form
\forall x_1 \forall x_2 ...\forall x_n((\lnot\bot \wedge\alpha_1\wedge\alpha_2\wedge...\wedge\alpha_m)\rightarrow\beta), wobei\alpha_1,...,\alpha_mund\betaatomare $\sum$-Formeln sind.
Unser Beweis reduziert die unentscheidbare Menge PCP auf die Menge der erfüllbaren Horn-Formeln.
Im folgenden sei also I=((u_1,v_1),(u_2,v_2),...,(u_k,v_k)) ein Korrespondenzsystem und A das zugrundeliegende Alphabet.
Hieraus berechnen wir eine Horn-Formel \varphi_I, die genau dann erfüllbar ist, wenn I keine Lösung hat.
Wir betrachten die Signatur \sum= (\Omega,Rel,ar) mit
- \Omega=\{e\}\cup\{f_a|a\in A\}mit- ar(e) =0und- ar(f_a) =1für alle- a\in A.
- Rel=\{R\}mit- ar(R)=2.
Zur Abkürzung schreiben wir f_{a_1 a_2 ...a_n} (x) für f_{a_1}(f_{a_2}(...(f_{a_n}(x))...)) für alle a_1,a_2,...,a_n\in A und n\geq 0 (insbes. steht f_{\epsilon}(x) für x).
Zunächst betrachten wir die folgende Horn-Formel \psi_I:
- \wedge \bigwedge_{1\leq j \leq k}^{R(e,e)} \forall x,y(R(x,y)\rightarrow R(f_{u_j}(x),f_{v_j}(y)))
- \wedge \bigwedge_{a\in A} \forall x(e=f_a(x)\rightarrow \bot)
Beispiel: Betrachte die $\sum$-Struktur A mit Universum U_A=A^*
- e^A=\epsilon
- f_a^A(u) =au
- R^A=\{(u_{i1} u_{i2} ...u_{in},v_{i1} v_{i2} ...v_{in})|n\geq 0 , 1\geq i_1,i_2,...,i_n\geq k\}
- Für u,v\in A^*giltf_u^A(v) =uv.
- Dann gilt A\Vdash \psi_I.
Lemma
Angenommen, das Korrespondenzsystem
Ihat keine Lösung. Dann ist die Horn-Formel\varphi_I=\psi_I \wedge \forall x(R(x,x)\rightarrow x=e)erfüllbar.
Beweis: Sei A die obige Struktur mit A\Vdash\psi_I.
- Um A\Vdash\forall x(R(x,x)\rightarrow x=e)zu zeigen, seiw\in U_Abeliebig mit(w,w)\in R^A.
- Die Definition von R^Asichert die Existenz vonn\geq 0und1\leq i_1,i_2,...,i_n\leq kmitu_{i1} u_{i2}...u_{in}=w=v_{i1} v_{i2} ...v_{in}.
- Da Ikeine Lösung hat, folgtn=0und damitw=\epsilon.
Lemma
Sei
BStruktur mitB\Vdash\psi_I. Dann gilt(f_{u_{i_1} u_{i_2} ...u_{i_n}}^B (e^B),f_{v_{i_1} v_{i_2}...v_{i_n}}^B(e^B))\in R^Bfür allen\geq 0, 1\leq i_1,i_2,...,i_n \leq k.
Beweis: per Induktion über n\geq 0.
- IA: für n=0geltenf_{u_{i_1} u_{i_2} ...u_{i_n}}^B(e^B) =e^Bundf_{v_{i_1} v_{i_2}...v_{i_n}}^B(e^B) =e^B- und damit (f_{u_{i_1} u_{i_2} ...u_{i_n}}^B(e^B), f_{v_{i_1} v_{i_2}...v_{i_n}}^B(e^B) \in R^B
- wegen B\Vdash\psi_I.
 
- und damit 
- IS: Seien n>0und1\leq i_1 ,i_2 ,...,i_n\leq k.- Mit u=u_{i2} u_{i3} ...u_{in}undv=v_{i2} v_{i3} ...v_{in}gilt nach IV(f_u^B(e^B),f_v^B(e^B))\in R^B. WegenB\Vdash\psi_Ifolgtf_{u_{i_1} u_{i_2} ...u_{i_n}}^B(e^B), f_{v_{i_1} v_{i_2}...v_{i_n}}^B(e^B) = (f_{u_{i1}}^B (f_u^B(e^B)),f_{v_{i1}}^B (f_v^B(e^B)))\in RB.
 
- Mit 
Lemma
Angenommen,
(i_1,...,i_n)ist eine Lösung vonI. Dann ist die $\sum$-Formel\varphi_Iunerfüllbar.
Satz
Die Menge der unerfüllbaren Horn-Formeln ist nicht entscheidbar.
Beweis: Die Abbildung I\rightarrow\varphi_I ist berechenbar.
Nach den vorherigen Lemmata ist sie eine Reduktion von PCP auf die Menge der unerfüllbaren Horn-Formeln. Da PCP unentscheidbar ist (vgl. Automaten, Sprachen und Komplexität), ist die Menge der unerfüllbaren Horn-Formeln unentscheidbar.
Folgerung (Church 1936)
Die Menge der allgemeingültigen $\sum$-Formeln ist nicht entscheidbar.
Beweis: Eine $\sum$-Formel \varphi ist genau dann unerfüllbar, wenn \lnot\varphi allgemeingültig ist. Also ist \varphi\rightarrow\lnot\varphi eine Reduktion der unentscheidbaren Menge der unerfüllbaren $\sum$-Formeln auf die Menge der allgemeingültigen $\sum$-Formeln, die damit auch unentscheidbar ist.
Allgemeingültige $\sum$-Formeln gelten in allen Strukturen. Was passiert, wenn wir uns nur auf „interessante“ StrukturenAeinschränken (z.B. auf eine konkrete), d.h. wenn wir die Theorie Th(A) von A betrachten?
Theorie der natürlichen Zahlen
Definition
Sei
Aeine Struktur. Dann istTh(A)die Menge der prädikatenlogischen $\sum$-Formeln\varphimitA\Vdash\varphi. Diese Menge heißt die(elementare) Theorie vonA.
Beispiel: Sei N= (N,\leq,+,*, 0 , 1 ). Dann gelten
- (\forall x\forall y:x+y=y+x)\in Th(N)
- (\forall x\exists y:x+y= 0 )\not\in Th(N)
- aber (\forall x\exists y:x+y= 0 )\in Th((Z,+, 0 )).
Lemma
Die Menge
Th(N)aller Sätze\varphimitN\Vdash\varphiist nicht entscheidbar.
Zahlentheoretisches Lemma
Für alle
n\in N,x_0,x_1,...,x_n\in Nexistierenc,d\in N, so dass für alle0\leq i\leq ngilt:x_i=c\ mod ( 1 +d*(i+ 1 )).
Beweis:Setze m= max\{n,x_0,x_1 ,...,x_n\} und d=2*3*4...(m+1). Dann sind die Zahlen 1+d, 1+d*2,..., 1 +d*(n+1) paarweise teilerfremd. Nach dem Chinesischen Restsatz folgt die Existenz
einer natürlichen Zahl c.
Bemerkung: Es gibt $\sum$-Formeln
- mod(x_1,x_2 ,y)mit- N\Vdash_{\alpha} mod \Leftrightarrow \alpha (x_1) mod\alpha (x_2) =\alpha (y).
- γ(x_1 ,x_2 ,x_3 ,y)mit- N\Vdash_{\alpha} γ\Leftrightarrow \alpha(x_1) mod(1+\alpha(x_2)*(\alpha (x3)+1)) =\alpha (y).
Satz
Sei
Aeine Struktur, so dassTh(A)semi-entscheidbar ist. Dann istTh(A)entscheidbar.
Korollar Die Menge
TH(N)der Aussagen\varphimitN\Vdash\varphiist nicht semi-entscheidbar.
Korollar (1. Gödelscher Unvollständigkeitssatz)
Sei
Gammaeine semi-entscheidbare Menge von Sätzen mitN\Vdash\gammafür alle\gamma\in\Gamma. Dann existiert ein Satz\varphimit\Gamma\not\vdash\varphiund\Gamma\not\vdash\lnot\varphi(d.h. "\Gammaist nicht vollständig").
2. Semi Entscheidungsverfahren für allgemeingültige Formeln
bekanntes Verfahren mittels natürlichem Schließen: Suche hypothesenlose Deduktion mit Konklusion \psi.
Jetzt alternatives Verfahren, das auf den Endlichkeitssatz der Aussagenlogik zurückgreift:
- Berechne aus $\sum$-Formel \psieine Menge E von aussagenlogischen Formeln mitEunerfüllbar\Leftrightarrow\lnot\psiunerfüllbar\Leftrightarrow\psiallgemeingültig
- Suche endliche unerfüllbare Teilmenge E'vonE
Kern des Verfahrens ist es also, aus $\sum$-Formel \varphi eine Menge E aussagenlogischer Formeln zu berechnen mit \varphi unerfüllbar \Leftrightarrow E unerfüllbar.
Hierzu werden wir die Formel \varphi zunächst in zwei Schritten (Gleichungsfreiheit und Skolem-Form) vereinfachen, wobei die Formel erfüllbar bzw unerfüllbar bleiben muss.
Definition
Zwei $\sum$-Formeln
\varphiund\psiheißen erfüllbarkeitsäquivalent, wenn gilt:\varphiist erfüllbar\Leftrightarrow\psiist erfüllbar
Unsere Vereinfachungen müssen also erfüllbarkeitsäquivalente Formeln liefern.
Elimination von Gleichungen
Definition
Eine $\sum$-Formel ist gleichungsfrei, wenn sie keine Teilformel der Form
s=tenthält.
Ziel: aus einer \sum Formel \varphi soll eine erfüllbarkeitsäquivalente gleichungsfreue Formel \varphi' berechnet werden
Bemerkung: Man kann i.a. keine äquivalente gleichungsfreie Formel \varphi' angeben, da es eine solche z.B. zu \varphi=(\forall x\forall y:x=y) nicht gibt.
Idee: Die Formel \varphi' entsteht aus \varphi, indem alle Teilformeln der Form x=y durch GI(x,y) ersetzt werden, wobei GI ein neues Relationssymbol ist.
Notationen
- Sei \sum=(\Omega,Rel,ar)endliche Signatur und\varphi$\sum$-Formel
- \sum_{GI} = (\Omega, Rel\bigcup^+\{GI\},ar_{GI})mit- ar_{GI}(f)für alle- f\in\Omega\cup Relund- ar_{GI}(GI)=2
- Für eine $\sum$-Formel \varphibezeichnet\varphi_{GI}die $\sum_{GI}$-Formel, die aus\varphientsthet, indem alle Vorkommen und Teilformens=tdurchGI(s,t)ersetzt werden.
Behauptung: \varphi erfüllbar \Rightarrow \varphi_{GI} erfüllbar
Behauptung: es gilt nicht \varphi erfüllbar \Leftarrow\varphi_{GI} erfüllbar
Definition
Sei A eine $\sum$-Struktur und
\simeine binäre Relation aufU_A. Die Relation\simheißt Kongruenz auf A, wenn gilt:
\simist eine Äquivalentrelation (d.h. reflexiv, transitiv und symmetrisch)- für alle
f\in\Omegamitk=ar(f)und allea_1,b_1,...,a_k,b_k\in U_Agilta_1\sim b_1,a_2\sim b_2,...,a_k\sim b_k\Rightarrow f^A(a_1,...,a_k)\sim f^A(b_1,...,b_k)- für alle
R\in Relmitk=ar(R)und allea_1,b_1,...,a_k,b_k\in U_Agilta_1\sim b_1,...,a_k\sim b_k,(a_1,...,a_k)\in R^A\Rightarrow (b_1,...,b_k)\in R^A.
Definition
Sei
Aeine $\sum$-Struktur und\simeine Kongruenz auf A.
- Für
a\in U_Asei[a]=\{b\in U_A|a\sim b\}die Äquivalenzklasse von a bzgl\sim.- Dann definieren wir den Quotienten
B=A\backslash \simvonAbzgl\simwie folgt:
U_B=U_A\backslash\sim = \{[a]|a\in U_A\}- Für jedes
f\in\Omegamitar(f)=kund allea_1,...,a_k\in\U_Asetzten wirf^B([a_1],...,[a_k])=[f^A(a_1,...,a_k)]- für jede
R\in Relmitar(R)=ksetzten wirR^B=\{([a_1],[a_2],...,[a_k])|(a_1,...,a_k)\in R^A\}
- Sei
p:Var\rightarrow U_AVariableninterpretation. Dann definieren die Variableninterpretationp\backslash\sim: Var\rightarrowU_B:x\rightarrow[p(x)].
Lemma 1
Sei A Struktur,
p:Var\rightarrow U_AVariableninterpretation und\simKongruenz. Seien weiterB=A\backslash\simundp_B=p\backslash\sim. Dann gilt für jeden Term:[p(t)]=p_B(t)
Beweis: per Induktion über den Aufbau des Terms t
Lemma 2
Sei
A$\sum$-Struktur,\simKongruenz undB=A\backslash\sim. Dann gilt für alleR\in Relmitk=ar(R)und allec_1,...,c_k\in U_A:([c_1],[c_2],...,[c_k])\in R^B\Leftrightarrow (c_1,c_2,...,c_k)\in R^A
Satz
Seien
A$\sum_{GI}$-Struktur undp:Var\rightarrow U_AVariableninterpretation, so dass\sim=GI^AKongruenz auf A ist. SeienB=A\backslash\simundp_B=p\backslash\sim. Dann gilt für alle $\sum$-Formeln\varphi: A\Vdash_p \varphi_{GI} \Leftrightarrow B\Vdash_{p_B} \varphi
Beweis: per Induktion über den Aufbau der Formel \varphi
Lemma
Aus einer endlichen Signatur
\sumkann ein gleichungsfreuer Horn-SatzKong_{\sum}über\sum_{GI}berechnet werden, so dass für alle $\sum_{GI}$-StrukturenAgilt:A\Vdash Kong_{\sum} \Leftrightarrow GI^Aist eine Kongruenz
Satz
Aus einer endlichen Signatur
\sumund einer $\sum$-Formel\varphikann eine gleichungsfreie und erfüllbarkeitsäquivalente $\sum_{GI}$-Formel\varphi'berechnet werden. Ist\varphiHorn Formel, so ist auch\varphi'Horn Formel.
Beweis: Setzte \varphi' =\varphi_{GI}\wedge Kong_{\sum} und zeige: \varphi erfüllbar \Leftrightarrow \varphi' erfüllbar.
Skolemform
Ziel: Jede $\sum$-Formel \varphi ist erfüllbarkeitsäquivalent zu einer $\sum$′-Formel \varphi′=\forall x_1\forall x_2 ...\forall x_k \psi, wobei \psi kein Quantoren enthält, \varphi′ heißt in Skolemform.
Bemerkung: Betrachte die Formel \exists x\exists y E(x,y). Es gibt keine Formel in Skolemform, die hierzu äquivalent ist.
2 Schritte:
- Quantoren nach vorne (d.h. Pränexform)
- Existenzquantoren eliminieren
Definition
Zwei $\sum$-Formeln
\varphiund\psisind äquivalent (kurz:$\varphi\equiv\psi$), wenn für alle $\sum$-StrukturenAund alle Variableninterpretationen\rhogilt: $A\Vdash_\rho\psi \Lefrightarrow\LeftrightarrowA\Vdash_\rho\psi$.
Lemma
Seien
Q\in\{\exists ,\forall\}und\oplus\in\{\wedge,\vee,\rightarrow,\leftarrow\}. Sei\varphi= (Qx \alpha)\oplus\betaund seiyeine Variable, die weder in\alphanoch in\betavorkommt. Dann gilt\varphi \equiv \begin{cases} Qy(\alpha[x:=y]\oplus\beta) \text{ falls } \oplus\in\{\wedge,\vee,\leftarrow\}\\ \forall y(\alpha[x:=y]\rightarrow\beta) \text{ falls } \oplus=\rightarrow,Q=\exists \\ \exists y(\alpha[x:=y]\rightarrow\beta) \text{ falls }\oplus=\rightarrow,Q=\forall\end{cases}
Notwendigkeit der Bedingung „y kommt weder in \alpha noch in \beta vor“:
- (\exists x:f(x) \not =f(y))\wedge\beta \not\equiv\exists y: (f(y) \not =f(y)\wedge\beta)
- (\exists x:\lnot P(x))\wedge P(y)\not\equiv \exists y: (\lnot P(y) \wedge P(y))
Lemma
Seien
Q\in\{\exists,\forall\}und\oplus\in\{\wedge,\vee,\rightarrow,\leftarrow\}. Sei\varphi= (Qx\alpha)\oplus\betaund seiyeine Variable, die weder in\alphanoch in\betavorkommt. Dann gilt\varphi\equiv\begin{cases} Qy(\alpha[x:=y]\oplus\beta) \text{ falls }\oplus\in\{\wedge,\vee,\leftarrow\} \\ \forall y(\alpha[x:=y]\rightarrow\beta) \text{ falls }\oplus=\rightarrow,Q=\exists \\ \exists y(\alpha[x:=y]\rightarrow\beta) \text{ falls }\oplus=\rightarrow,Q=\forall \end{cases}
Beweis: (für den Fall Q=\exists und \oplus=\wedge)
- Seien A$\sum$-Struktur und\rhoVariableninterpretation.
- Für a\in U_Asetze\rho_a:=\rho[y\rightarrow a].
- Dann gilt \rho_a[x\rightarrow \rho_a(y)](z) =\rho[x\rightarrow a](z)für allez\not=y
Wir erhalten also
- A\vdash_\rho (\exists x\alpha)\wedge\beta
- \Leftrightarrow A\vdash_\rho (\exists x\alpha)und- A\vdash_\rho \beta
- \Leftrightarrow(es gibt- a\in U_Amit- A\vdash_{\rho[x\rightarrow a]}\alpha) und (es gilt- A\vdash_\rho \beta)
- \Leftrightarrowes gibt- a\in U_Amit (- A\vdash_{\rho[x\rightarrow a]}\alphaund- A\vdash_\rho \beta)
- \Leftrightarrowes gibt- a\in U_Amit- A\vdash_{\rho_a[x\rightarrow \rho_a(y)]}\alpha(da- yin- \alphanicht vorkommt)
- A\vdash_{\rho_a} \beta(da- yin- \betanicht vorkommt)
 
- \Leftrightarrowes gibt- a\in U_Amit- A\vdash_{\rho_a} \alpha[x:=y]
- A\vdash_{\rho_a} \beta
 
- \Leftrightarrowes gibt- a\in U_Amit- A\vdash_{\rho[y\rightarrow a]}\alpha[x:=y]\wedge\beta
- \Leftrightarrow A\vdash_\rho \exists y(\alpha[x:=y]\wedge\beta)
Satz
Aus einer endlichen Signatur
\sumund einer $\sum$-Formel\varphikann eine äquivalente $\sum$-Formel\varphi′=Q_1 x_1 Q_2 x_2 ...Q_k x_k \psi(mitQ_i\in\{\exists,\forall\},\psiquantorenfrei undx_ipaarweise verschieden) berechnet werden. Eine Formel\varphi′dieser Form heißt Pränexform. Ist\varphigleichungsfrei, so ist auch\varphi′gleichungsfrei.
Beweis: Der Beweis erfolgt induktiv über den Aufbau von \varphi:
- I.A. \varphiist atomare Formel: Setze\varphi′=\varphi.
- I.S.
- \varphi=\lnot\psi: Nach I.V. kann Formel in Pränexform- \psi\equiv Q_1 x_1 Q_2 x_2 ...Q_m x_m \psi′berechnet werden. Mit- \forall=\existsund- \exists=\forallsetze- \varphi′=Q_1 x_1 Q_2 x_2 ...Q_m x_m\lnot\psi′.
- \varphi=\exists x\psi: Nach I.V. kann Formel in Pränexform- \psi\equiv Q_1 x_1 Q_2 x_2 ...Q_m x_m \psi′berechnet werden. Setze- \varphi′= \begin{cases} \exists x Q_1 x_1 Q_2 x_2 ...Q_m x_m\psi′\text{ falls }x\not\in\{x_1,x_2,...,x_m\}\\ Q_1 x_1 Q_2 x_2 ...Q_m x_m\psi′\text{ sonst}\end{cases}
- \varphi=\alpha\wedge\beta: Nach I.V. können Formeln in Pränexform- \alpha\equiv Q_1 x_1 Q_2 x_2 ...Q_mx_m \alpha_0; \beta\equiv Q_1′y_1 Q_2′y_2 ...Q_n′y_n \beta_0berechnet werden.
 
Ziel: Berechnung einer erfüllbarkeitsäquivalenten Formel in Skolemform
Idee:
- wandle Formel in Pränexform um
- eliminiere $\exists$-Quantoren durch Einführen neuer Funktionssymbole
Konstruktion: Sei \varphi=\forall x_1\forall x_2...\forall x_m\exists y\psi Formel in Pränexform (u.U. enthält \psi weitere Quantoren). Sei g\not\in\Omega ein neues m-stelliges Funktionssymbol.
Setze \varphi′=\forall x_1\forall x_2...\forall x_m \psi[y:=g(x_1,...,x_m)].
Offensichtlich hat $\varphi$′einen Existenzquantor weniger als \varphi. Außerdem ist \varphi′ keine $\sum$-Formel (denn sie verwendet g\not\in\Omega), sondern Formel über einer erweiterten Signatur.
Lemma
Die Formeln
\varphiund\varphi′sind erfüllbarkeitsäquivalent.
Beweis: „$\Leftarrow$“ Sei A′ Struktur und \rho′ Variableninterpretation mit A′\vdash_{\rho′}\varphi′. Wir zeigen A′\vdash_{\rho′}\varphi. Hierzu seien a_1,...,a_m\in U_{A′} beliebig.
Satz
Aus einer Formel
\varphikann man eine erfüllbarkeitsäquivalente Formel\varphiin Skolemform berechnen. Ist\varphigleichungsfrei, so auch\varphi.
Beweis: Es kann zu \varphi äquivalente Formel \varphi_0 =Q_1 x_1 Q_2 x_2 ...Q_{\iota}  x_{\iota}   \psi in Pränexform berechnet werden (mit n\leq {\iota}   Existenzquantoren). Durch wiederholte Anwendung des vorherigen Lemmas erhält man Formeln \varphi_1,\varphi_2,...\varphi_n mit
- \varphi_iund- \varphi_{i+1}sind erfüllbarkeitsäquivalent
- \varphi_{i+1}enthält einen Existenzquantor weniger als- \varphi_i
- \varphi_{i+1}ist in Pränexform
- ist \varphi_igleichungsfrei, so auch\varphi_{i+1}
Dann ist \bar{\varphi}=\varphi_n erfüllbarkeitsäquivalente (ggf. gleichungsfreie) Formel in Skolemform.
Herbrand-Strukturen und Herbrand-Modelle
Sei \sum= (\Omega,Rel,ar) eine Signatur. Wir nehmen im folgenden an, dass \Omega wenigstens ein Konstantensymbol enthält.
Das Herbrand-Universum D(\sum) ist die Menge aller variablenfreien $\sum$-Terme.
Beispiel: \Omega =\{b,f\} mit ar(b) =0 und ar(f) =1. Dann gilt D(\sum) =\{b,f(b),f(f(b)),f(f(f(b))),...\}
Eine $\sum$-Struktur A=(UA,(fA)f\in\Omega,(RA)R\in Rel) ist eine Herbrand-Struktur, falls folgendes gilt:
- UA=D(\sum),
- für alle f\in\Omegamitar(f)=kund allet_1,t_2,...,t_k\in D(\sum)istf^A(t_1,t_2,...,t_k) =f(t_1,t_2,...,t_k).
Für jede Herbrand-Struktur A, alle Variableninterpretationen \rho und alle variablenfreien Terme t gilt dann \rho(t) =t.
Ein Herbrand-Modell von \varphi ist eine Herbrand-Struktur, die gleichzeitig ein Modell von \varphi ist.
Satz
Sei
\varphieine gleichungsfreie Aussage in Skolemform.\varphiist genau dann erfüllbar, wenn\varphiein Herbrand-Modell besitzt.
Beweis:
- Falls \varphiein Herbrand-Modell hat, ist\varphinatürlich erfüllbar.
- Sei nun \varphi=\forall y_1...\forall y_n\psierfüllbar. Dann existieren eine $\sum$-StrukturA=(U_A,(f^A)_{f\in\Omega},(R^A)_{R\in Rel})und eine Variableninterpretation\rhomitA\vdash_\rho \varphi.
Plan des Beweises
Wir definieren eine Herbrand-Struktur B=(D(\sum),(f^B)_{f\in\Omega},(R^B)_{R\in Rel}):
- Seien f\in\Omegamitar(f)=kundt_1,...,t_k\in D(\sum). Um eine Herbrand-StrukturBzu konstruieren setzen wirf^B(t_1,...,t_k) =f(t_1,...,t_k)
- Sei R\in Relmitar(R)=kund seient_1,...,t_k\in D(\sum). Dann setze(t_1,...,t_k)\in RB:\Leftrightarrow (\rho(t_1),...,\rho(t_k))\in RA.
Sei \rho_B:Var \rightarrow D(\sum) beliebige Variableninterpretation.
Behauptung 1:
Ist \psi eine quantoren- und gleichungsfreie Aussage, so gilt A\vdash_\rho\psi \Leftrightarrow B\vdash_{\rhoB} \psi. Diese Behauptung wird induktiv über den Aufbau von \psi gezeigt.
Intermezzo
Behauptung 1 gilt nur für quantorenfreie Aussagen
\sum = (\Omega,Rel,ar) mit \Omega =\{a\},ar(a) =0 und Rel=\{E\},ar(E) =2.
Betrachte die Formel \varphi=\forall x(E(x,x)\wedge E(a,a)) in Skolemform.
A\vdash_\rho \varphi mit U^A=\{a^A,m\} und E^A=\{(m,m),(a^A,a^A)\}.
Die konstruierte Herbrand-Struktur B:U_B=D(\sum) =\{a\} und E^B=\{(a,a)\}.
Betrachte nun die Formel \psi=\forall x,y E(x,y). Dann gilt B\vdash_{\rhoB}\psi und A\not\vdash_\rho \psi.
Für allgemeine Formeln in Skolemform (also u.U. mit Quantoren) können wir also Behauptung 1 nicht zeigen, sondern höchstens die folgende Abschwächung.
Behauptung 2:
Ist \psi eine gleichungsfreie Aussage in Skolemform, so gilt A\vdash_\rho \psi \Rightarrow B\vdash_{\rhoB}\psi.
(hieraus folgt dann B\vdash_{\rhoB}\varphi wegen A\vdash_\rho \varphi)
Diese Behauptung wird induktiv über die Anzahl n der Quantoren in \psi bewiesen.
Die Herbrand-Expansion
verbleibende Frage: Wie erkennt man, ob eine gleichungsfreie Aussage in Skolemform ein Herbrand-Modell hat?
Beispiel: Seien \sum=(\{a,f\},\{P,R\},ar) und \varphi=\forall x\forall y (P(a,x)\wedge\lnot R(f(y)))$.
Jedes Herbrand-Modell A von \varphi
- hat als Universum das Herbrand-Universum D(\sum)=\{a,f(a),f^2 (a),...\}=\{f^n(a)|n\geq 0\}
- erfüllt f^A(f^n(a))= f^{n+1} (a)für allen\geq 0
Um ein Herbrand-Modell zu konstruieren, müssen (bzw. können) wir für alle Elemente s,t,u\in D(\sum) unabhängig und beliebig wählen, ob (s,t)\in P^A und u\in R^A gilt.
Wir fassen dies als „aussagenlogische B-Belegung“ B der „aussagenlogischen atomaren Formeln“ P(s,t) bzw. R(u) auf.
Jede solche aussagenlogische B-Belegung B definiert dann eine Herbrand-Struktur A_B:
- P^{A_B} = \{(s,t)\in D(\sum)^2 |B(P(s,t))= 1\}
- R^{A_B} = \{u\in D(\sum) |B(R(u))= 1\}
Mit \varphi=\forall x\forall y(P(a,x)\wedge\lnot R(f(y))) gilt dann A_B \Vdash_\rho \varphi
- \Leftrightarrow A_B \Vdash_{\rho[x\rightarrow f^m(a)][y\rightarrow f^n(a)]} P(a,x)\wedge\lnot R(f(y))f.a.- m,n\geq 0
- \Leftrightarrow (a,fm(a))\in P^{A_B}und- f^{n+1}(a)\not\in R^{A_B}f.a.- m,n\geq 0
- \Leftrightarrow B(P(a,f^m(a)))= 1und- B(R(f^{n+1} (a)))= 0f.a.- m,n\geq 0
- \Leftrightarrow B(P(a,f^m(a))\wedge\lnot R(f^{n+1} (a)))= 1f.a.- m,n\geq 0
Also hat \varphi genau dann ein Herbrand-Modell, wenn es eine erfüllende B-Belegung B der Menge aussagenlogischer Formeln E(\varphi)=\{P(a,f^m(a))\wedge\lnot R(f^{n+1}(a)) | m,n\geq 0\} gibt.
Beispiellösung: Setzt B(P(s,t))= 1 und B(R(s))= 0 für alle s,t\in D(\sum).
Diese B-Belegung erfüllt E(\varphi) und „erzeugt“ die Herbrand-Struktur A_B mit P^{A_B}=D(\sum)^2 und R^{A_B}=\varnothing.
Nach obiger Überlegung gilt A_B\Vdash\varphi, wir haben also ein Herbrand-Modell von \varphi gefunden.
Sei \varphi=\forall y_1\forall y_2...\forall y_n\psi gleichungsfreie Aussage in Skolemform.
Ziel: Konstruktion einer Menge aussagenlogischer Formeln, die genau dann erfüllbar ist, wenn \varphi  ein Herbrand-Modell hat.
Die Herbrand-Expansion von \varphi  ist die Menge der Aussagen E(\varphi)=\{\psi[y_1:=t_1][y_2:=t_2]...[y_n:=t_n]|t_1,t_2,...,t_n\in D(\sum)\}
Die Formeln von E(\varphi) entstehen also aus \psi, indem die (variablenfreien) Terme aus D(\sum) in jeder möglichen Weise in \psi substituiert werden.
Wir betrachten die Herbrand-Expansion von \varphi im folgenden als eine Menge von aussagenlogischen Formeln.
Die atomaren Formeln sind hierbei von der Gestalt P(t_1,...,t_k) für P\in Rel mit ar(P)=k und t_1,...,t_k\in D(\sum).
Konstruktion
Sei
B:\{P(t_1,...,t_k)|P\in Rel,k=ar(P),t_1,...,t_k\in D(\sum)\}\rightarrow Beine B-Belegung. Die hiervon induzierte Herbrand-StrukturA_Bist gegeben durchP^{A_B} = \{(t_1,...,t_k)|t_1,...,t_k\in D(\sum),B(P(t_1,...,t_k))= 1\}für alleP\in Relmitar(P)=k.
Lemma
Für jede quantoren- und gleichungsfreie Aussage
\alphaund jede Variableninterpretation\rhoinA_BgiltA_B\Vdash_\rho\alpha \Leftrightarrow B(\alpha)= 1.
Beweis:
- per Induktion über den Aufbau von \alpha
- I.A. \alphaist atomar, d.h.\alpha= P(t_1,...,t_k)mitt_1,...,t_kvariablenlosA_B\Vdash_\rho \alpha\Leftrightarrow (\rho(t_1),\rho(t_2),...,\rho(t_k))\in P^{A_B}\Leftarrow B(\alpha)= 1
- I.S.
- \alpha=\beta\wedge\gamma: A_B\Vdash_\rho \alpha\Leftrightarrow A_B \Vdash_\rho\betaund- A_B\Vdash_\rho\gamma \Leftrightarrow B(\beta)=B(\gamma)= 1 \Leftrightarrow B(\alpha)= 1
- \alpha=\beta\vee\gamma: analog
- \alpha=\beta\rightarrow\gamma: analog
- \alpha=\lnot\beta: analog
 
Lemma
Sei
\varphi=\forall y_1 \forall y_2 ...\forall y_n\psigleichungsfreie Aussage in Skolemform. Sie hat genau dann ein Herbrand-Modell, wenn die FormelmengeE(\varphi)(im aussagenlogischen Sinn) erfüllbar ist.
Beweis: Seien A Herbrand-Struktur und \rho Variableninterpretation. Sei B die B-Belegung mit B(P(t_1,...,t_k))= 1\Leftrightarrow(t_1,...,t_k)\in P^A für alle P\in Rel mit k=ar(P) und t_1,...,t_k\in D(\sum). Dann gilt A=A_B.
Satz von Gödel-Herbrand-Skolem
Sei
\varphigleichungsfreie Aussage in Skolemform. Sie ist genau dann erfüllbar, wenn die FormelmengeE(\varphi)(im aussagenlogischen Sinn) erfüllbar ist.
Beweis: \varphi erfüllbar \Leftrightarrow \varphi  hat ein Herbrand-Modell \Leftrightarrow  E(\varphi) ist im aussagenlogischen Sinne erfüllbar.
Satz von Herbrand
Eine gleichungsfreie Aussage
\varphiin Skolemform ist genau dann unerfüllbar, wenn es eine endliche Teilmenge vonE(\varphi)gibt, die (im aussagenlogischen Sinn) unerfüllbar ist.(Jacques Herbrand (1908-1931))
Beweis: \varphi unerfüllbar \Leftrightarrow E(\varphi) unerfüllbar \Leftrightarrow es gibt M\subseteq E(\varphi) endlich und unerfüllbar
Algorithmus von Gilmore
Sei \varphi gleichungsfreie Aussage in Skolemform und sei \alpha_1,\alpha_2,\alpha_3,... eine Aufzählung von E(\varphi).
Eingabe: \varphi
n:=0;
repeat n := n +1;
until { alpha_1, alpha_2,..., alpha_n } ist unerfüllbar;
  (dies kann mit Mitteln der Aussagenlogik, z.B. Wahrheitswertetabelle, getestet werden)
Gib „unerfüllbar“ aus und stoppe.
Folgerung: Sei \varphi  eine gleichungsfreie Aussage in Skolemform. Dann gilt:
- Wenn die Eingabeformel \varphiunerfüllbar ist, dann terminiert der Algorithmus von Gilmore und gibt „unerfüllbar“ aus.
- Wenn die Eingabeformel \varphierfüllbar ist, dann terminiert der Algorithmus von Gilmore nicht, d.h. er läuft unendlich lange.
Beweis: unmittelbar mit Satz von Herbrand
Zusammenfassung: alternative Semi-Entscheidungsverfahren für die Menge der allgemeingültigen Formeln.
- Berechne aus \psieine zu\lnot\psierfüllbarkeitsäquivalente gleichungsfreie Formel\varphiin Skolemform.
- Suche mit dem Algorithmus von Gilmore nach einer endlichen Teilmenge E′vonE(\varphi), die unerfüllbar ist.
Berechnung von Lösungen
Beispiel
- \gamma = \forall x,y (R(x,f(y))\wedge R(g(x),y))
- \varphi = \forall x,yR(x,y)
- Gilt \{\gamma\}\Vdash\varphi? nein, dennA\Vdash\gamma\wedge\lnot\varphimit- A=(\mathbb{N},f^A,g^A,R)
- f^A(n)=g^A(n)=n+1$ für alle n\in\mathbb{N}
- R^A = \mathbb{N}^2 \backslash\{( 0 , 0 )\}
 
- Gibt es variablenfreie Terme sundtmit\{\gamma\}\Vdash R(s,t)?- ja: z.B. (s,t)=(g(f(a)),g(a))oder(s,t)=(g(a),g(a))oder(s,t)=(a,f(b))
 
- ja: z.B. 
- Kann die Menge aller Termpaare (s,t)(d.h. aller „Lösungen“) mit\{\gamma\}\Vdash R(s,t)effektiv und übersichtlich angegeben werden?- Wegen \{\gamma\}\Vdash R(s,t) \Leftrightarrow\gamma\wedge\lnot R(s,t)unerfüllbar ist die gesuchte Menge der variablenfreien Terme(s,t)semi-entscheidbar, d.h. durch eine Turing-Maschine beschrieben.
 
- Wegen 
- Im Rest des Logikteils der Vorlesung „Logik und Logikprogrammierung“ wollen wir diese Menge von Termpaaren „besser“ beschreiben (zumindest in einem Spezialfall, der die Grundlage der logischen Programmierung bildet).
Erinnerung
Eine Horn-Klausel der Prädikatenlogik ist eine Aussage der Form
\forall x_1\forall x_2...\forall x_n ((\lnot\bot\wedge\alpha_1 \wedge\alpha_2 \wedge...\wedge\alpha_m)\rightarrow\beta), mitm\geq 0, atomaren Formeln\alpha_1,...,\alpha_mund\betaatomare Formel oder\bot.
Aufgabe:
\varphi_1,...,\varphi_n gleichungsfreie Horn-Klauseln, \psi(x_1,x_2,...,x_{\iota} )=R(t_1,...,t_k) atomare Formel, keine Gleichung. Bestimme die Menge der Tupel (s_1,...,s_{\iota} ) von variablenfreien Termen mit \{\varphi_1,...,\varphi_n\}\Vdash\psi(s_1,...,s_{\iota} )=R(t_1,...,t_k)[x_1:=s_1]...[x_{\iota} :=s_{\iota} ], d.h., für die die folgende Formel unerfüllbar ist: \bigwedge_{1\leq i\leq n} \varphi_i \wedge \lnot\psi(s_1,...,s_{\iota} ) \equiv \bigwedge_{1\leq i\leq n} \varphi_i\wedge(\psi(s_1,...,s_{\iota} )\rightarrow\bot)
Erinnerung
- Eine Horn-Formel der Prädikatenlogik ist eine Konjunktion von Horn-Klauseln der Prädikatenlogik.
- Eine Horn-Klausel der Aussagenlogik ist eine Formel der Form (\lnot\bot\wedge q_1\wedge q_2 \wedge...\wedge q_m)\rightarrow rmitm\geq 0, atomaren Formelnq_1,q_2,...,q_m, ratomare Formel od.\bot.
Beobachtung
- Wir müssen die Unerfüllbarkeit einer gleichungsfreien Horn-Formel der Prädikatenlogik testen.
- Ist \varphigleichungsfreie Horn-Klausel der Prädikatenlogik, so istE(\varphi)eine Menge von Horn-Klauseln der Aussagenlogik.
Schreib- und Sprechweise
- \{\alpha_1,\alpha_2,...,\alpha_n\}\rightarrow\betafür Horn-Klausel der Prädikatenlogik- (\lnot\bot\wedge\alpha_1 \wedge\alpha_2\wedge...\wedge\alpha_n)\rightarrow\betainsbes.- \varnothing\rightarrow\betafür- \lnot\bot\rightarrow\beta
- \{(N_i\rightarrow\beta_i) | 1\leq i\leq m\}für Horn-Formel- \bigwedge_{1\leq i\leq m} (N_i\rightarrow\beta_i)
Folgerung: Sei \varphi =\bigwedge_{1\leq i\leq n} \varphi_i gleichungsfreie Horn-Formel der Prädikatenlogik. Dann ist \varphi genau dann unerfüllbar, wenn \bigcup_{1\leq i\leq n} E(\varphi_i) im aussagenlogischen Sinne unerfüllbar ist.
Beweis: Für 1\leq i\leq n sei \varphi_i=\forall x_1^i,x_2^i,...,x_{m_i}^i \psi_i.
Zur Vereinfachung nehme wir an, daß die Variablen x_j^i für 1\leq i\leq n und 1\leq j\leq m_i paarweise verschieden sind.
Folgerung: Eine gleichungsfreie Horn-Formel der Prädikatenlogik \varphi=\bigwedge_{1\leq i\leq n} \varphi_i ist genau dann unerfüllbar, wenn es eine SLD-Resolution (M_0\rightarrow\bot,M_1\rightarrow\bot,...,M_m\rightarrow\bot) aus \bigcup_{1\leq i\leq n} E(\varphi_i) mit M_m =\varnothing gibt.
Substitutionen
Eine verallgemeinerte Substitution \sigma ist eine Abbildung der Menge der Variablen in die Menge aller Terme, so daß nur endlich viele Variable x existieren mit \sigma(x) \not=x.
Sei Def(\sigma)=\{x\ Variable|x\not =\sigma(x)\} der Definitionsbereich der verallgemeinerten Substitution \sigma. Für einen Term t definieren wir den Term t\sigma (Anwendung der verallgemeinerten Substitution \sigma auf den Term t) wie folgt induktiv:
- x\sigma=\sigma(x)
- [f(t_1 ,... ,t_k)]\sigma=f(t_1\sigma,... ,t_k\sigma)für Terme- t_1,... ,t_k,f\in\Omegaund $k=ar(f)$ Für eine atomare Formel- \alpha=P(t_1 ,... ,t_k)(d.h.- P\in Rel,ar(P) =k,t_1 ,... ,t_kTerme) sei- \alpha\sigma = P(t_1\sigma,... ,t_k\sigma)
Verknüpfungvon verallgemeinerten Substitutionen: Sind \sigma_1 und \sigma_2 verallgemeinerte Substitutionen, so definieren wir eine neue verallgemeinerte Substitution \sigma_1 \sigma_2 durch (\sigma_1 \sigma_2)(x) = (x\sigma_1)\sigma_2.
Beispiel: Sei x Variable und t Term. Dann ist \sigma mit
$\sigma(y) =\begin{cases} t \quad\text{ falls } x=y \ y \quad\text{ sonst }\end{cases}$
eine verallgemeinerte Substitution. Für alle Terme s und alle atomaren Formeln \alpha gilt
s\sigma=s[x:=t] und \alpha\sigma=\alpha[x:=t].
Substitutionen sind also ein Spezialfall der verallgemeinerten Substitutionen.
Beispiel: Die verallgemeinerte Substitution \sigma mit Def(\sigma)=\{x,y,z\} und \sigma(x) =f(h(x′)), \sigma(y) =g(a,h(x′)), \sigma(z) =h(x′) ist gleich der verallgemeinerten Substitution [x:=f(h(x′))] [y:=g(a,h(x′))] [z:=h(x′)] = [x:=f(z)] [y:=g(a,z)] [z:=h(x′)].
Es kann sogar jede verallgemeinerte Substitution \sigma als Verknüpfung von Substitutionen der Form [x:=t] geschrieben werden.
Vereinbarung: Wir sprechen ab jetzt nur von „Substitutionen“, auch wenn wir „verallgemeinerte Substitutionen“ meinen.
Lemma
Seien
\sigmaSubstitution,xVariable undtTerm, so dass
- (i)
x\not\in Def(\sigma)und- (ii)
xin keinem der Termey\sigmamity\in Def(\sigma)vorkommt. Dann gilt[x:=t]\sigma=\sigma[x:=t\sigma].
Beispiele: Im folgenden sei t=f(y).
- Ist \sigma=[x:=g(z)], so giltx[x:=t]\sigma=t\sigma=t\not=g(z) =g(z)[x:=t\sigma] =x\sigma[x:=t\sigma].
- Ist \sigma= [y:=g(x)], so gilty[x:=t]\sigma=y\sigma=g(x) \not=g(f(g(x)))= g(x) [x:=t\sigma] =y\sigma[x:=t\sigma].
- Ist \sigma= [y:=g(z)], so geltenDef([x:=t]\sigma) =\{x,y\}=Def(\sigma[x:=t\sigma]),[x:=t]\sigma(x) =f(g(z)) =\sigma[x:=t\sigma]und[x:=t]\sigma(y) =\sigma(z) =\sigma[x:=t\sigma], also[x:=t]\sigma=\sigma[x:=t\sigma].
Beweis: Wir zeigen y[x:=t]\sigma=y\sigma[x:=t\sigma] für alle Variablen y.
- y=x: Dann gilt- y[x:=t]\sigma=t\sigma. Außerdem- y\sigma=xwegen- y=x\not\in Def(\sigma)und damit- y\sigma[x:=t\sigma]=x[x:=t\sigma]=t\sigma.
- y\not =x: Dann gilt- y[x:=t]\sigma=y\sigmaund ebenso- y\sigma[x:=t\sigma]=y\sigma, da- xin- y\sigmanicht vorkommt.
Unifikator/Allgemeinster Unifikator
Gegeben seien zwei gleichungsfreie Atomformeln \alpha und \beta. Eine Substitution \sigma heißt Unifikator von \alpha und \beta, falls \alpha\sigma=\beta\sigma.
Ein Unifikator \sigma von \alpha und \beta heißt allgemeinster Unifikator von \alpha und \beta, falls für jeden Unifikator \sigma′ von \alpha und \beta eine Substitution \tau mit \sigma′=\sigma \tau existiert.
Aufgabe: Welche der folgenden Paare (\alpha,\beta) sind unifizierbar?
| \alpha | \beta | Ja | Nein | 
|---|---|---|---|
| P(f(x)) | P(g(y)) | ||
| P(x) | P(f(y)) | ||
| Q(x,f(y)) | Q(f(u),z) | ||
| Q(x,f(y)) | Q(f(u),f(z)) | ||
| Q(x,f(x)) | Q(f(y),y) | ||
| R(x,g(x),g^2 (x)) | R(f(z),w,g(w)) | 
Zum allgemeinsten Unifikator
Eine Variablenumbenennung ist eine Substitution \rho, die Def(\rho) injektiv in die Menge der Variablen abbildet.
Lemma
Sind
\sigma_1und\sigma_2allgemeinste Unifikatoren von\alphaund\beta, so existiert eine Variablenumbenennung\rhomit\sigma_2=\sigma_1 \rho.
Beweis: \sigma_1 und \sigma_2 allgemeinste Unifikatoren \Rightarrow es gibt Substitutionen \tau_1 und \tau_2 mit \sigma_1\tau_1 =\sigma_2 und \sigma_2\tau_2 =\sigma_1.
Definiere eine Substitution \rho durch:
$\rho(y) =\begin{cases} y\tau_1 \quad\text{ falls es x gibt, so dass y in } x\sigma_1 \text{ vorkommt}\ y \quad\text{ sonst }\end{cases}$
Wegen Def(\rho)\subseteq Def(\tau_1) ist Def(\rho) endlich, also \rho eine Substitution.
- Für alle Variablen xgilt dannx\sigma_1 \rho=x\sigma_1 \tau_1 =x\sigma_2und daher\sigma_2 =\sigma_1 \rho.
- Wir zeigen, dass \rho(y)Variable und\rhoaufDef(\rho)injektiv ist: Seiy\in Def(\rho). Dann existiert Variablex, so dassyinx\sigma_1vorkommt. Es giltx\sigma_1 =x\sigma_2\tau_2=x\sigma_1\tau_1\tau_2, und damity=y\tau_1 \tau_2 =y\rho \tau_2 =\rho(y)\tau_2, d.h.\rho(y)ist Variable, die Abbildung\rho:Def(\rho)\rightarrow\{z|z\ Variable\}ist invertierbar (durch\tau_2) und damit injektiv.
Unifikationsalgorithmus
- Eingabe: Paar$(\alpha,\beta)$ gleichungsfreier Atomformeln \sigma:=Substitution mitDef(\sigma)=\varnothing(d.h. Identität)
- while \alpha\sigma\not =\beta\sigmado- Suche die erste Position, an der sich \alpha\sigmaund\beta\sigmaunterscheiden
- if keines der beiden Symbole an dieser Position ist eine Variable
- then stoppe mit „nicht unifizierbar“
- else sei xdie Variable undtder Term in der anderen Atomformel (möglicherweise auch eine Variable)- if xkommt intvor
- then stoppe mit „nicht unifizierbar“
- else \sigma:=\sigma[x:=t]
 
- if 
 
- Suche die erste Position, an der sich 
- endwhile
- Ausgabe: \sigma
Satz
- (A) Der Unifikationsalgorithmus terminiert für jede Eingabe.
- (B) Wenn die Eingabe nicht unifizierbar ist, so terminiert der Unifikationsalgorithmus mit der Ausgabe „nicht unifizierbar“.
- (C) Wenn die Eingabe
(\alpha,\beta)unifizierbar ist, dann findet der Unifikationsalgorithmus einen allgemeinsten Unifikator von\alphaund\beta.
(C) besagt insbesondere, daß zwei unifizierbare gleichungsfreie Atomformeln (wenigstens) einen allgemeinsten Unifikator haben. Nach dem Lemma oben haben sie also genau einen allgemeinsten Unifikator (bis auf Umbenennung der Variablen).
Die drei Teilaussagen werden in getrennten Lemmata bewiesen werden.
Lemma (A) Der Unifikationsalgorithmus terminiert für jede Eingabe(
\alpha,\beta).
Beweis: Wir zeigen, daß die Anzahl der in \alpha\sigma oder \beta\sigma vorkommenden Variablen in jedem Durchlauf der while-Schleife kleiner wird.
Betrachte hierzu einen Durchlauf durch die while-Schleife.
Falls der Algorithmus in diesem Durchlauf nicht terminiert, so wird \sigma auf \sigma[x:=t] gesetzt.
Hierbei kommt x in \alpha\sigma oder in \beta\sigma vor und der Term t enthält x nicht.
Also kommt x weder in \alpha\sigma[x:=t] noch in \beta\sigma[x:=t] vor.
Lemma (B) Wenn die Eingabe nicht unifizierbar ist, so terminiert der Unifikationsalgorithmus mit der Ausgabe „nicht unifizierbar“.
Beweis: Sei die Eingabe (\alpha,\beta) nicht unifizierbar.
Falls die Bedingung \alpha\sigma\not=\beta\sigma der while-Schleife irgendwann verletzt wäre, so wäre (\alpha,\beta) doch unifizierbar (denn \sigma wäre ja ein Unifikator).
Da nach Lemma (A) der Algorithmus bei Eingabe (\alpha,\beta) terminiert, muss schließlich „nicht unifizierbar“ ausgegeben werden.
Lemma (C1) Sei
\sigma′ein Unifikator der Eingabe(\alpha,\beta), so dass keine Variable aus\alphaoder\betaauch in einem Term aus\{y\sigma′|y\in Def(\sigma′)\}vorkommt. Dann terminiert der Unifikationsalgorithmus erfolgreich und gibt einen Unifikator\sigmavon\alphaund\betaaus. Außerdem gibt es eine Substitution\taumit\sigma′=\sigma\tau.
Beweis:
- Sei N\in\mathbb{N}die Anzahl der Durchläufe der while-Schleife (ein solchesNexistiert, da der Algorithmus nach Lemma (A) terminiert).
- Sei \sigma_0Substitution mitDef(\sigma_0) =\varnothing, d.h. die Identität. Für1\leq i\leq Nsei\sigma_idie nach dem $i$-ten Durchlauf der while-Schleife berechnete Substitution\sigma.
- Für 1\leq i\leq Nseix_idie im $i$-ten Durchlauf behandelte Variablexundt_ider entsprechende Termt.
- Für 0\leq i\leq Nsei\tau_idie Substitution mit\tau_i(x)=\sigma′(x)für allex\in Def(\tau_i) =Def(\sigma′)\backslash\{x_1,x_2,...,x_i\}.
Behauptung:
- Für alle 0\leq i\leq Ngilt\sigma′=\sigma_i\tau_i.
- Im $i$-ten Durchlauf durch die while-Schleife (1\leq i\leq N)terminiert der Algorithmus entweder erfolgreich (und gibt die Substitution\sigma_Naus) oder der Algorithmus betritt die beiden else-Zweige.
- Für alle 0\leq i\leq Nenthalten\{\alpha\sigmai,\beta\sigma_i\}undT_i=\{y\tau_i|y\in Def(\tau_i)\}keine gemeinsamen Variablen.
Aus dieser Behauptung folgt tatsächlich die Aussage des Lemmas:
- Nach (2) terminiert der Algorithmus erfolgreich mit der Substitution \sigma_N. Daher gilt aber\alpha\sigma_N=\beta\sigma_N, d.h.\sigma_Nist ein Unifikator.
- Nach (1) gibt es auch eine Substitution \tau_nmit\sigma′=\sigma_N\tau_n.
Lemma (C) Sei die Eingabe
(\alpha,\beta)unifizierbar. Dann terminiert der Unifikationsalgorithmus erfolgreich und gibt einen allgemeinsten Unifikator\sigmavon\alphaund\betaaus.
Beweis: Sei \sigma′ ein beliebiger Unifikator von \alpha und \beta. Sei Y=\{y_1,y_2,... ,y_n\} die Menge aller Variablen, die in \{y\sigma′|y\in Def(\sigma′)\} vorkommen.
Sei Z=\{z_1,z_2,...,z_n\} eine Menge von Variablen, die weder in \alpha noch in \beta vorkommen.
Sei \rho die Variablenumbenennung mit Def(\rho)=Y\cup Z,\rho(y_i) =z_i und \rho(z_i)=y_i für alle 1\leq i\leq n.
Dann ist auch \sigma′\rho ein Unifikator von \alpha und \beta und keine Variable aus \alpha oder \beta kommt in einem der Terme aus \{y\sigma′\rho|y\in Def(\sigma′)\} vor.
Nach Lemma (C1) terminiert der Unifikationsalgorithmus erfolgreich mit einem Unifikator \sigma von \alpha und \beta, so dass es eine Substitution \tau gibt mit \sigma′\rho=\sigma\tau.
Also gilt \sigma′=\sigma(\tau\rho^{-1}).
Da \sigma′ ein beliebiger Unifikator von \alpha und \beta war und da die Ausgabe \sigma des Algorithmus nicht von \sigma′ abhängt, ist \sigma also ein allgemeinster Unifikator.
Satz
- (A) Der Unifikationsalgorithmus terminiert für jede Eingabe.
- (B) Wenn die Eingabe nicht unifizierbar ist, so terminiert der Unifikationsalgorithmus mit der Ausgabe „nicht unifizierbar“.
- (C) Wenn die Eingabe
(\alpha,\beta)unifizierbar ist, dann findet der Unifikationsalgorithmus immer einen allgemeinsten Unifikator von\alphaund\beta.
(C) besagt insbesondere, daß zwei unifizierbare gleichungsfreie Atomformeln(wenigstens) einen allgemeinsten Unifikator haben. Damit haben sie aber genau einen allgemeinsten Unifikator (bis auf Umbenennung der Variablen).
Prädikatenlogische SLD-Resolution
Erinnerung
- Eine Horn-Klausel der Prädikatenlogik ist eine Aussage der Form \forall x_1 \forall x_2... \forall x_n ((\lnot\bot \wedge\alpha_1 \wedge\alpha_2 \wedge...\wedge\alpha_m)\rightarrow\beta)=\Psimitm\geq 0, atomaren Formeln\alpha_1,...,\alpha_mund\betaatomare Formel oder\bot. Sie ist definit, wenn\beta\not =\bot.
- E(\varphi) =\{\Psi[x_1 :=t_1 ][x_2 :=t_2 ]...[x_n:=tn]|t_1 ,t_2 ,...,t_n\in D(\sigma)\}
- Eine Horn-Klausel der Aussagenlogik ist eine Formel der Form (\lnot\bot\wedge q_1 \wedge q_2 \wedge... \wedge q_m)\rightarrow rmitm\geq 0, atomaren Formelnq_1,q_2,...,q_m,ratomare Formel oder\bot.
Schreib- und Sprechweise:
Für die Horn-Klausel der Prädikatenlogik \forall x_1...\forall x_n(\lnot\bot \wedge \alpha_1 \wedge \alpha_2 \wedge...\wedge \alpha_m)\rightarrow\beta schreiben wir kürzer \{\alpha_1,\alpha_2,...,\alpha_m\}\rightarrow\beta.
insbes. \varnothing\rightarrow\beta für \forall x_1...\forall x_n(\lnot\bot\rightarrow\beta)
Erinnerung:
Sei \Gamma eine Menge von Horn-Klauseln der Aussagenlogik. Eine aussagenlogische SLD-Resolution aus \Gamma ist eine Folge (M_0 \rightarrow\bot,M_1 \rightarrow\bot,...,M_m\rightarrow\bot) von Hornklauseln mit
- (M_0\rightarrow\bot)\in\Gammaund
- für alle 0\leq n<mexistiert(N\rightarrow q)\in\Gammamitq\in M_nundM_{n+1} =M_n\backslash\{q\}\cup N
Definition
Sei
\Gammaeine Menge von gleichungsfreien Horn-Klauseln der Prädikatenlogik. Eine SLD-Resolution aus\Gammaist eine Folge((M_0\rightarrow\bot,\sigma_0),(M_1\rightarrow\bot,\sigma_1),...,(M_m\rightarrow\bot,\sigma_m))von Horn-Klauseln und Substitutionen mit
(M_0\rightarrow\bot)\in\GammaundDef(\sigma_0)=\varnothing- für alle
0\leq n<mexistieren\varnothing\not=Q\subseteq M_n,(N\rightarrow\alpha)\in\Gammaund Variablenumbenennung\rho, so dass
(N\cup\{\alpha\})\rhoundM_nvariablendisjunkt sind,
\sigma_{n+1}ein allgemeinster Unifikator von\alpha\rhoundQist und
M_{n+1} = (M_n\Q\cup N\rho)\sigma_{n+1}.
Ziel:
Seien \Gamma=\{\varphi_1,...,\varphi_n\} Menge gleichungsfreier Horn-Klauseln, \Psi(x_1,x_2 ,...,x_{\iota}) =R(t_1 ,...,t_k) atomare Formel, keine Gleichung und (s_1,...,s_{\iota}) Tupel variablenloser Terme.
Dann sind äquivalent:
- $\Gamma\Vdash\Psi(s_1,...,s_{\iota}).
- Es gibt eine SLD-Resolution ((M_n\rightarrow\bot,\sigma_n))_{0\leq n\leq m}aus\Gamma\cup\{M_0\rightarrow\bot\}mitM_0=\{\Psi(x_1,...,x_{\iota})\}undM_m=\varnothingund eine Substitution\tau, so dasss_i=x_i\sigma_0 \sigma_1 ...\sigma_m\taufür alle1\leq i\leq \iotagilt.
Lemma
Sei
\GammaMenge von gleichungsfreien Horn-Klauseln der Prädikatenlogik und(M_n \rightarrow\bot,\sigma_n))_{0\leq n\leq m}eine SLD-Resolution aus\Gamma\cup\{M_0\rightarrow\bot\}mitM_m=\varnothing. Dann gilt\Gamma\Vdash\Psi\sigma_0 \sigma_1\sigma_2...\sigma_mfür alle\Psi\in M_0.
Konsequenz:
\Gamma=\{\varphi_1,...,\varphi_n\},M_0 =\{\Psi(x_1,...,x_{\iota})\},\tau Substitution, so dass s_i=x_i \sigma_0 \sigma_1 \sigma_2 ...\sigma_m \tau variablenlos für alle 1\leq i \leq \iota. Nach dem Lemma gilt also \Gamma \Vdash\Psi(x_1,...,x_{\iota})\sigma_0 ...\sigma_m und damit \Gamma\Vdash\Psi(x_1 ,...,x_{\iota} )\sigma_0 ...\sigma_m\tau=\Psi(s_1,...,s_{\iota} ).
Die Implikation (2)\Rightarrow (1) des Ziels folgt also aus diesem Lemma.
Lemma
Sei
\Gammaeine Menge von definiten gleichungsfreien Horn-Klauseln der Prädikatenlogik, seiM\rightarrow\boteine gleichungsfreie Horn-Klausel und sei\nuSubstitution, so dassM\nuvariablenlos ist und\Gamma\Vdash M\nugilt. Dann existieren eine prädikatenlogische SLD-Resolution((M_n \rightarrow\bot,\sigma_n))_{0 \leq n\leq m}und eine Substitution\taumitM_0=M,M_m=\varnothingundM_0 \sigma_0 \sigma_1... \sigma_m \tau=M_{\nu}.
Konsequenz:
\Gamma=\{\varphi_1,...,\varphi_n\},M=\{\psi(x_1 ,...,x_{\iota})\},s_1,...,s_\iota} variablenlose Terme, so dass \{\varphi_1 ,...,\varphi_n\}\Vdash\psi(s_1,...,s_{\iota}) =\psi(x_1 ,...,x_{\iota})\nu mit \nu(x_i)=s_i. Dann existieren SLD-Resolution und Substitution \tau mit M_0\sigma 0...\sigma_m\tau=M\nu=\{\psi (s_1,...,s_{\iota} )\}.
Die Implikation (1)\Rightarrow (2) des Ziels folgt also aus diesem Lemma.
Satz
Sei
\Gammaeine Menge von definiten gleichungsfreien Horn-Klauseln der Prädikatenlogik, seiM\rightarrow\boteine gleichungsfreie Horn-Klausel und sei\nuSubstitution, so dassM\nuvariablenlos ist. Dann sind äquivalent:
\Gamma\Vdash M\nu- Es existieren eine SLD-Resolution
((M_n\rightarrow\bot,\sigma_n))_{0\leq n\leq m}aus\Gamma\cup\{M\nu\rightarrow\bot\}und eine Substitution\taumitM_0=M,M_m=\varnothingundM_0\sigma_0\sigma_1...\sigma_m\tau=M\nu.
Konsequenz:
\Gamma =\{\varphi_1,...,\varphi_n\},M_0 =\{\psi(x_1,...,x_{\iota})\}=\{R(t_1,t_2,...,t_k)\}. Durch SLD-Resolutionen können genau die Tupel variablenloser Terme gewonnen werden, für die gilt:
\{\varphi_1,...,\varphi_n\}\Vdash\psi (s_1,...,s_{\iota})
Zusammenfassung Prädikatenlogik
- Das natürliche Schließen formalisiert die „üblichen“ Argumente in mathematischen Beweisen.
- Das natürliche Schließen ist vollständig und korrekt.
- Die Menge der allgemeingültigen Formeln ist semi-entscheidbar, aber nicht entscheidbar.
- Die Menge der Aussagen, die in (\mathbb{N},+,*,0,1)gelten, ist nicht semi-entscheidbar.
- Die SLD-Resolution ist ein praktikables Verfahren, um die Menge der     "Lösungen" (s_1,...,s_{\iota})von\Gamma\Vdash\psi(s_1,...,s_{\iota})zu bestimmen (wobei\GammaMenge von gleichungsfreien Horn-Klauseln und\psiKonjunktion von gleichungsfreien Atomformeln sind.
Logische Programmierung
Einführung in die Künstliche Intelligenz (KI)
Ziel: Mechanisierung von Denkprozessen
Grundidee (nach G.W. Leibniz)
- lingua characteristica - Wissensdarstellungssprache
- calculus ratiocinator - Wissensverarbeitungskalkül
Teilgebiete der KI
- Wissensrepräsentation
- maschinelles Beweisen (Deduktion)
- KI-Sprachen: Prolog, Lisp
- Wissensbasierte Systeme
- Lernen (Induktion)
- Wissensverarbeitungstechnologien (Suchtechniken, fallbasiertes Schließen, Multiagenten-Systeme)
- Sprach- und Bildverarbeitung
Logische Grundlagen
PROLOG – ein „Folgerungstool“
Sei M eine Menge von Aussagen, H eine Hypothese.
H folgt aus M(M \Vdash H), falls jede Interpretation, die zugleich alle Elemente aus M wahr macht (jedes Modell von M), auch H wahr macht.
Für endliche Aussagenmengen M=\{A_1, A_2, ... , A_n\} bedeutet das:
M \Vdash H, gdw. ag(\bigwedge_{i=1}^n A_i\rightarrow A) bzw. (was dasselbe ist) kt(\bigwedge_{i=1}^n A_i \wedge \lnot A)
Aussagen in PROLOG: HORN-Klauseln des PK1
A(X_1,...,X_n), A_i(X_1,...,X_n) quantorfreie Atomformeln, welche die allquantifizierten Variablen X_1,...,X_n enthalten können
Varianten / Spezialfälle
- Regeln (vollständige HORN-Klauseln)
\forall X_1... \forall X_n(A(X_1,...,X_n)\leftarrow \bigwedge_{i=1}^n A_i(X_1,...,X_n))
- Fakten (HORN-Klauseln mit leerem Klauselkörper)
\forall X_1...\forall X_n(A(X_1,...,X_n)\leftarrow true)
- Fragen (HORN-Klauseln mit leerem Klauselkopf)
\forall X_1...\forall X_n(false \leftarrow \bigwedge_{i=1}^n A_i(X_1,...,X_n))
- leere HORN-Klauseln (mit leeren Kopf & leerem Körper)
false\leftarrow true
Effekte der Beschränkung auf HORN-Logik
- Über HORN-Klauseln gibt es ein korrektes und vollständiges Ableitungsverfahren.
- \{K_1, ...,K_n\} \Vdash H, gdw.- \{K_1,...,K_n\} \vdash_{ROB} H
 
- Die Suche nach einer Folge von Resolutionsschritten ist algorithmisierbar.
- Das Verfahren „Tiefensuche mit Backtrack“ sucht systematisch eine Folge, die zur leeren Klausel führt.
- Rekursive und/oder metalogische Prädikate stellen dabei die Vollständigkeit in Frage.
 
- Eine Menge von HORN-Klauseln mit nichtleeren Klauselköpfen ist stets erfüllbar; es lassen sich keine Widersprüche formulieren.
- K_1 \wedge K_2...\wedge K_n \not= false
 
Die systematische Erzeugung von (HORN-) Klauseln
- Verneinungstechnischen Normalform (VTNF): \lnotsteht nur vor Atomformeln- \lnot\lnot A\equiv A
 
- Erzeugung der Pränexen Normalform (PNF): \forall, \existsstehen vor dem Gesamtausdruck- \forall X A(X) \rightarrow B \equiv \exists X(A(X)\rightarrow B)
- \exists X A(X) \rightarrow B \equiv \forall X(A(X)\rightarrow B)
 
- Erzeugung der SKOLEM‘schen Normalform (SNF): \existswird eliminiert Notation aller existenzquantifizierten Variablen als Funktion derjenigen allquantifizierten Variablen, in deren Wirkungsbereich ihr Quantor steht. Dies ist keine äquivalente - , wohl aber eine die Kontradiktorizität erhaltende Umformung.
- Erzeugung der Konjunktiven Normalform (KNF)
Durch systematische Anwendung des Distributivgesetzes A\vee (B\wedge C)\equiv (A\vee B)\wedge(A\vee C)lässt sich aus der SNF\forall X_1...\forall X_n A(X_1,...,X_n)stets die äquivalente KNF\forall X_1...\forall X_n((L_1^1\vee...\vee L_1^{n_1})\wedge...\wedge(L_m^1\vee...\vee L_m^{n_m}))erzeugen. DieL_i^ksind unnegierte oder negierte Atomformeln und heißen positive bzw. negative Literale.
- Erzeugung der Klauselform (KF)
Jede der Elementardisjunktionen (L_1^j \vee...\vee L_1^{j_k})der KNF kann man als äquivalente Implikation (Klausel)(L_i^j \vee...\vee L_i^{j_m})\leftarrow(L_1^{j_{m+1}}\wedge ...\wedge L_1^{j_k})notieren, indem man alle positiven LiteraleL_i^j,...,L_i^{j_m}disjunktiv verknüpft in den DANN-Teil (Klauselkopf) und alle negativen LiteraleL_i^{j_{m+1}},...,L_i^{j_k}konjunktiv verknüpft in den WENN-Teil (Klauselkörper) notiert.
- Sind die Klauseln aus Schritt 5. HORN? In dem Spezialfall, dass alle Klauselköpfe dabei aus genau einem Literal bestehen, war die systematische Erzeugung von HORN-Klauseln erfolgreich; anderenfalls gelingt sie auch nicht durch andere Verfahren. Heißt das etwa, die HORN-Logik ist eine echte Beschränkung der Ausdrucksfähigkeit? Richtig, das heißt es.
Im Logik-Teil dieser Vorlesung lernten Sie eine Resolutionsmethode für Klauseln kennenlernen
- ... deren Algorithmisierbarkeit allerdings an der „kombinatorischen Explosion“ der Resolutionsmöglichkeiten scheitert, aber ...
- ... in der LV „Inferenzmethoden“ können Sie noch ein paar „Tricks“ kennenlernen, die „Explosion“ einzudämmen
Inferenz in PROLOG: Resolution nach ROBINSON
gegeben:
- Menge von Regeln und Fakten M M=\{K_1,...,K_n\}
- negierte Hypothese \lnot H\lnot H\equiv \bigwedge_{i=1}^m H_i \equiv false \rightarrow \bigwedge_{i=1}^m H_i
Ziel: Beweis, dass M \Vdash H. kt(\bigwedge_{i=1}^n K_i \wedge \lnot H)
Eine der Klauseln habe die Form A\leftarrow \bigwedge_{k=1}^p B_k. ($A,B_k$- Atomformeln)
Es gebe eine Substitution (Variablenersetzung) \nu für die A und eines der H_i (etwa H_l) vorkommenden Variablen, welche A und H_l syntaktisch identisch macht.
M\equiv \bigwedge_{i=1}^n K_i\wedge \lnot(\bigwedge_{i=1}^m H_i) ist kontradiktorisch (kt\ M‘), gdw. M‘ nach Ersetzen von H durch \bigwedge_{i=1}^{l-1}\nu(H_i)\wedge\bigwedge_{k=1}^p\nu(B_k)\wedge\bigwedge_{i=l+1}^m \nu(H_i) noch immer kontradiktorisch ist.
Jetzt wissen wir also, wie man die zu zeigende Kontradiktorizität auf eine andere – viel kompliziertere Kontradiktorizität zurückführen kann.
Für p=0 und m=1 wird es allerdings trivial.
Die sukzessive Anwendung von Resolutionen muss diesen Trivialfall systematisch herbeiführen:
Satz von ROBINSON
M'\equiv\bigwedge_{i=1}^n K_i\wedge \lnot Hist kontradiktorisch (kt\ M‘), gdw. durch wiederholte Resolutionen in endlich vielen Schritten die negierte Hypothese\lnot H\equiv false \leftarrow Hdurch die leere Klauselfalse\leftarrow trueersetzt werden kann.
Substitution
- Eine (Variablen-) Substitution \nueiner AtomformelAist eine Abbildung der Menge der inAvorkommenden VariablenXin die Menge der Terme (aller Art: Konstanten, Variablen, strukturierte Terme).
- Sie kann als Menge von Paaren [Variable,Ersetzung]notiert werden:\nu=\{[x,t]: x\in X, t=\nu(x)\}
- Für strukturierte Terme wird die Substitution auf deren Komponenten angewandt: \nu(f(t_1,...,t_n)) = f(\nu(t_1),...,\nu(t_n))
- Verkettungsoperator \circfür Substitutionen drückt Hintereinander-anwendung aus:\sigma\circ\nu(t)=\sigma(\nu(t))
- Substitutionen, die zwei Terme syntaktisch identisch machen, heißen Unifikator: $\nu$unifiziert zwei Atomformeln (oder Terme) sundt(oder: heißt Unifikator vonsundt), falls dessen Einsetzungsundtsyntaktisch identisch macht.
Unifikation
Zwei Atomformeln p(t_{11},...,t_{1n}) und p_2(t_{21},...,t_{2n}) sind unifizierbar, gdw.
- sie die gleichen Prädikatensymbole aufweisen (p_1= p_2),
- sie die gleichen Stelligkeiten aufweisen (n = m) und
- die Terme t_{1i}undt_{2i}jeweils miteinander unifizierbar sind.
Die Unifizierbarkeit zweier Terme richtet sich nach deren Sorte:
- Zwei Konstanten t_1undt_2sind unifizierbar, gdw.t_1= t_2
- Zwei strukturierte Terme f(t_{11},...,t_{1n})undf(t_{21},...,t_{2n})sind unifizierbar, gdw.- sie die gleichen Funktionssymbole aufweisen (f_1= f_2),
- sie die gleichen Stelligkeiten aufweisen (n=m) und
- die Terme t_{1i}undt_{2i}jeweils miteinander unifizierbar sind.
 
- sie die gleichen Funktionssymbole aufweisen (
- Eine Variable t_1ist mit einer Konstanten oder einem strukturierten Termt_2unifizierbar.t_1wird durcht_2ersetzt (instanziert):t_1:= t_2
- Zwei Variablen t_1und_2sind unifizierbar und werden gleichgesetzt:t_1:=t_2bzw.t_2:= t_1
Genügt „irgendein“ Unifikator?
- ein Beispiel
- K_1: p(A,B)\leftarrow q(A)\wedge r(B)
- K_2:q(c)\leftarrow true
- K_3:r(d)\leftarrow true
- \lnot H: false\leftarrow p(X,Y)
 
- Unifikatoren für H_1^0und Kopf vonK_1:- \nu^1 = \{[X,a],[Y,b],[A,a],[B,b]\}
- \nu^2 =\{[X,a],[Y,B],[A,a]\}
- \nu^3 =\{[X,A],[Y,b],[B,b]\}
- \nu^4=\{[A,X],[B,Y]\}...
 
- Obwohl \{K_1, K_2, K_3\}\Vdash H, gibt es bei Einsetzung von\nu^1,\nu^2und\nu^3keine Folge von Resolutionsschritten, die zur leeren Klausel führt.
- Bei Einsetzung von \nu^4hingegen gibt es eine solche Folge.
- Die Vollständigkeit des Inferenzverfahrens hängt von der Wahl des „richtigen“ Unifikators ab.
- Dieser Unifikator muss möglichst viele Variablen variabel belassen. Unnötige Spezialisierungen versperren zukünftige Inferenzschritte.
- Ein solcher Unifikator heißt allgemeinster Unifikator bzw. "most general unifier" (m.g.u.).
Allgemeinster Unifikator
Eine Substitution heißt allgemeinster Unifikator (most general unfier; m.g.u.) zweier (Atomformeln oder) Terme
sundt(\nu= m.g.u.(s,t)), gdw.
Der Algorithmus zur Berechnung des m.g.u. zweier Terme s und t verwendet Unterscheidungsterme: Man lese s und t zeichenweise simultan von links nach rechts. Am ersten Zeichen, bei welchem sich s und t unterscheiden, beginnen die Unterscheidungsterme s* und t* und umfassen die dort beginnenden (vollständigen) Teilterme.
Algorithmus zur Bestimmung des allgemeinsten Unifikators 2er Terme
- input: s, t
- output: Unifizierbarkeitsaussage, ggf. \nu= m.g.u.( s , t )
- i:=0;\nu_i:=\varnothing;s_i:=s; t_i=t
- Start: s_iundt_iidentisch?- ja \Rightarrows und t sind unifizierbar,\nu=\nu_i=m.g.u.(s,t)(fertig)
- nein \RightarrowBilde die Unterscheidungstermes_i^*undt_i^*- s_i^*oder- t_i^*Variable?- nein \Rightarrowsundtsind nicht unifizierbar (fertig)
- ja \Rightarrowsei (o.B.d.A.)s_i^*eine Variable- s_i^* \subseteq t_i^*? (enthält- t_i^*die Variable- s_i^*?)- ja \Rightarrowsundtsind nicht unifizierbar (fertig)
- nein \Rightarrow- \nu':=\{[s,t']: [s,t]\in\nu, t':=t|_{s*\rightarrow t*}\}\cup \{[s_i^*, t_i^*]\}
- s':=\nu'(s_i); t':=\nu'(t_i); i:=i+1;
- \nu_i:=\nu'; s_i:=s'; t_i:=t';
- gehe zu Start
 
 
- ja 
 
 
- nein 
 
 
- ja 
Logische Programmierung
Einordnung des logischen Paradigmas
„deskriptives“ Programmierparadigma =
- Problembeschreibung
- Die Aussagenmenge M =\{K_1,...,K_n\}, über denen gefolgert wird, wird in Form von Fakten und Regeln im PK1 notiert.
- Eine mutmaßliche Folgerung (Hypothese) Hwird in Form einer Frage als negierte Hypothese hinzugefügt.
 
- Die Aussagenmenge 
- (+) Programmverarbeitung
- Auf der Suche eines Beweises für M \Vdash Hwerden durch mustergesteuerte Prozedur-Aufrufe Resolutions-Schritte zusammengestellt.
- Dem „Programmierer“ werden (begrenzte) Möglichkeiten gegeben, die systematische Suche zu beeinflussen.
 
- Auf der Suche eines Beweises für 
Syntax
Syntax von Klauseln
| Syntax | Beispiel | |
|---|---|---|
| Fakt | praedikatensymbol(term,...term). | liefert(xy_ag,motor,vw). | 
| Regel | praedikatensymbol(term,...term) :- praedikatensymbol(term,...term) ,... , praedikatensymbol(term,...term). | konkurrenten(Fa1,Fa2) :- liefert(Fa1,Produkt,),liefert(Fa2,Produkt,). | 
| Frage | ?- praedikatensymbol(term,...term) , ... ,praedikatensymbol(term,...term). | ?- konkurrenten(ibm,X), liefert(ibm,_,X). | 
Syntax von Termen
| Syntax | Beispiele | ||
|---|---|---|---|
| Konstante | Name | Zeichenfolge, beginnend mit Kleinbuchstaben, die Buchstaben, Ziffern und _ enthalten kann. | otto_1 , tisch, hund | 
| beliebige Zeichenfolge in “...“ geschlossen | “Otto“, “r@ho“ | ||
| Sonderzeichenfolge | €%&§$€ | ||
| Zahl | Ziffernfolge, ggf. mit Vorzeichen, Dezimalpunkt und Exponentendarstellung | 3, -5, 1001, 3.14E-12 | |
| Variable | allg. | Zeichenfolge, mit Großbuchstaben oder _ beginnend | X, Was, _alter | 
| anonym | Unterstrich | _ | |
| strukturierter Term | allg. | funktionssymbol( term , ... , term ) | nachbar(chef(X)) | 
| Liste | leere Liste | [ ] | |
| $[term | restliste]$ | $[mueller | |
| [term , term , ... , term ] | [ mueller, mayer, schulze ] | 
BACKUS-NAUR-Form
- PROLOG-Programm ::= Wissensbasis Hypothese
- Wissensbasis ::= Klausel | Klausel Wissensbasis
- Klausel ::= Fakt | Regel
- Fakt ::= Atomformel.
- Atomformel ::= Prädikatensymbol (Termfolge)
- Prädikatensymbol ::= Name
- Name ::= Kleinbuchstabe |Kleinbuchstabe Restname | "Zeichenfolge" | Sonderzeichenfolge
- RestName ::= Kleinbuchstabe | Ziffer | _ | Kleinbuchstabe RestName | Ziffer RestName | _ RestName
- ...
PROLOG aus logischer Sicht
Was muss der Programmierer tun?
- Formulierung einer Menge von Fakten und Regeln (kurz: Klauseln), d.h. einer Wissensbasis M\equiv\{K_1,...,K_n\}
- Formulierung einer negierten Hypothese (Frage, Ziel) \lnot H\equiv\bigwedge_{i=1}^m H_i \equiv false\leftarrow \bigwedge_{i=1}^m H_i
Was darf der Programmierer erwarten?
- Dass das „Deduktionstool“ PROLOG M \Vdash Hzu zeigen versucht, d.h.kt(\bigwedge_{i=1}^n K_i\wedge \lnot H))
- ..., indem systematisch die Resolutionsmethode auf \lnot Hund eine der Klauseln ausMangewandt wird, solange bis\lnot H\equiv false\leftarrow trueentsteht
Formulierung von Wissensbasen
- Beispiel 1 (BSP1.PRO)
- Yoshihito und Sadako sind die Eltern von Hirohito.
- vater_von(yoshihito,hirohito).
- mutter_von(sadako,hirohito).
 
- Kuniyoshi und Chikako sind die Eltern von Nagako.
- vater_von(kunioshi,nagako).
- mutter_von(chikako,nagako).
 
- Akihito‘s und Hitachi‘s Eltern sind Hirohito und Nagako.
- vater_von(hirohito,akihito).
- vater_von(hirohito,hitachi).
- mutter_von(nagako,akihito).
- mutter_von(nagako,hitachi).
 
- Der Großvater ist der Vater des Vaters oder der Vater der Mutter.
- grossvater_von(G,E) :- vater_von(G,V), vater_von(V,E).
- grossvater_von(G,E) :-vater_von(G,M),mutter_von(M,E).
 
- Geschwister haben den gleichen Vater und die gleiche Mutter.
- geschwister(X,Y) :- vater_von(V,X), vater_von(V,Y), mutter_von(M,X), mutter_von(M,Y).
 
Visual Prolog benötigt aber einen Deklarationsteil für Datentypen und Aritäten der Prädikate, der für die o.g. Wissensbasis so aussieht:
domains
  person = symbol
predicates
  vater_von(person,person)        % bei nichtdeterministischen Prädikaten
  mutter_von(person,person).      % kann man „nondeterm“ vor das
  grossvater_von(person,person)   % Prädikat schreiben, um die
  geschwister(person,person)      % Kompilation effizienter zu machen
clauses
  < Wissensbasis einfügen und Klauseln gleichen Kopfprädikates gruppieren>
goal
  < Frage ohne „?-“ einfügen>
- Beispiel 2 (BSP2.PRO)
- Kollegen Meier und Müller arbeiten im Raum 1, Kollege Otto im Raum 2 und Kollege Kraus im Raum 3.
- arbeitet_in(meier,raum_1).
- arbeitet_in(mueller,raum_1).
- arbeitet_in(otto,raum_2).
- arbeitet_in(kraus,raum_3).
 
- Netzanschlüsse gibt es in den Räumen 2 und 3.
- anschluss_in(raum_2).
- anschluss_in(raum_3).
 
- Ein Kollege ist erreichbar, wenn er in einem Raum mit Netzanschluss arbeitet.
- erreichbar(K) :- arbeitet_in(K,R),anschluss_in(R).
 
- 2 Kollegen können Daten austauschen, wenn sie im gleichen Raum arbeiten oder beide erreichbar sind.
- koennen_daten_austauschen(K1,K2) :- arbeitet_in(K1,R),arbeitet_in(K2,R).
- koennen_daten_austauschen(K1,K2) :- erreichbar(K1),erreichbar(K2).
 
Deklarationsteil
domains
  person, raum: symbol
predicates
  arbeitet_in(person,raum)
  ansluss_in(raum)
  erreichbar(person)
  koennen_daten_austauschen(person,person)
clauses
  ...
goal
  ...
Verarbeitung Logischer Programme
Veranschaulichung ohne Unifikation
Tiefensuche mit Backtrack: Es werden anwendbare Klauseln für das erste Teilziel gesucht. Gibt es ...
- ... genau eine, so wird das 1. Teilziel durch deren Körper ersetzt.
- ... mehrere, so wird das aktuelle Ziel inklusive alternativ anwendbarer Klauseln im Backtrack-Keller abgelegt und die am weitesten oben stehende Klausel angewandt.
- ... keine (mehr), so wird mit dem auf dem Backtrack-Keller liegendem Ziel die Bearbeitung fortgesetzt.
Dies geschieht solange, bis
- das aktuelle Ziel leer ist oder
- keine Klausel (mehr) anwendbar ist und der Backtrack-Keller leer ist.
Veranschaulichung mit Unifikation
Zusätzliche Markierung der Kanten mit der Variablenersetzung (dem Unifikator).
PROLOG aus prozeduraler Sicht
Beispiel: die „Hackordnung“
- chef_von(mueller,mayer).
- chef_von(mayer,otto).
- chef_von(otto,walter).
- chef_von(walter,schulze).
- weisungsrecht(X,Y) :- chef_von(X,Y).
- weisungsrecht(X,Y) :- chef_von(X,Z), weisungsrecht(Z,Y).
Deklarative Interpretation In einem Objektbereich
I=\{mueller, mayer, schulze, ...\}bildet das Prädikatweisungsrecht(X,Y)[X,Y]auf wahr ab, gdw.
- das Prädikat chef_von(X,Y)das Paar[X,Y]auf wahr abbildet oder
- es ein Z\in Igibt, so dass- das Prädikat chef_von(X,Z)das Paar[X,Z]auf wahr abbildet und
- das Prädikat weisungsrecht(Z,Y)das Paar[Z,Y]auf wahr abbildet.
 
- das Prädikat 
Prozedurale Interpretation Die Prozedur
weisungsrecht(X,Y)wird abgearbeitet, indem
- die Unterprozedur chef_von(X,Y)abgearbeitet wird. Im Erfolgsfall ist die Abarbeitung beendet; anderenfalls werden
- die Unterprozeduren chef_von(X,Z)undweisungsrecht(Z,Y)abgearbeitet; indem systematisch Prozedurvarianten beider Unterprozeduren aufgerufen werden.Dies geschieht bis zum Erfolgsfall oder erfolgloser erschöpfender Suche.
| deklarative Interpretation | prozedurale Interpretation | 
|---|---|
| Prädikat | Prozedur | 
| Ziel | Prozeduraufruf | 
| Teilziel | Unterprozedur | 
| Klauseln mit gleichem Kopfprädikat | Prozedur-varianten | 
| Klauselkopf | Prozedurkopf | 
| Klauselkörper | Prozedurrumpf | 
Die Gratwanderung zwischen Wünschenswertem und technisch Machbarem erfordert mitunter „Prozedurales Mitdenken“, um
- eine gewünschte Reihenfolge konstruktiver Lösungen zu erzwingen,
- nicht terminierende (aber – deklarativ, d.h. logisch interpretiert - völlig korrekte) Programme zu vermeiden,
- seiteneffektbehaftete Prädikate sinnvoll einzusetzen,
- (laufzeit-) effizienter zu programmieren und
- das Suchverfahren gezielt zu manipulieren.
Programm inkl. Deklarationsteil (BSP3.PRO)
domains
  person = symbol
predicates
  chef_von(person,person)
  weisungsrecht(person,person)
clauses
  chef_von(mueller,mayer).
  chef_von(mayer,otto).
  chef_von(otto,walter).
  chef_von(walter,schulze).
  weisungsrecht(X,Y) :- chef_von(X,Y).
  weisungsrecht(X,Y) :- chef_von(X,Z), weisungsrecht(Z,Y).
goal
  weisungsrecht(Wer,Wem).
Prädikate zur Steuerung der Suche nach einer Folge von Resolutionsschritten!
!(cut)
Das Prädikat !/0 ist stets wahr. In Klauselkörpern eingefügt verhindert es ein Backtrack der hinter !/0 stehenden Teilziele zu den vor !/0 stehenden Teilzielen sowie zu alternativen Klauseln des gleichen Kopfprädikats. Die Verarbeitung von !/0 schneidet demnach alle vor der Verarbeitung verbliebenen Lösungswege betreffenden Prozedur ab.
Prädikate zur Steuerung der Suche: $!/0$

Prädikate zur Steuerung der Suche nach einer Folge von Resolutionsschritten
fail
Das Prädikat fail/0 ist stets falsch. In Klauselkörpern eingefügt löst es ein Backtrack aus bzw. führt zum Misserfolg, falls der Backtrack-Keller leer ist, d.h. falls es keine verbleibenden Lösungswege (mehr) gibt.
 

Listen und rekursive Problemlösungsstrategien
Listen
- []ist eine Liste.
- Wenn Tein Term undLeine Liste ist, dann ist- [T|L]eine Liste.
- T.Leine Liste. (ungebräuchlich)
- .(T,L)eine Liste. (ungebräuchlich) Das erste Element- Theißt Listenkopf,- Lheißt Listenkörper oder Restliste.
 
- Wenn t_1, ... ,t_nTerme sind, so ist[t_1,...,t_n]eine Liste.
- Weitere Notationsformen von Listen gibt es nicht.
Listen als kompakte Wissensrepräsentation: ein bekanntes Beispiel (BSP5.PRO)
- arbeiten_in([meier, mueller], raum_1).
- arbeitet_in(meier, raum_1).
- arbeitet_in(mueller, raum_1).
 
- arbeitet_in(otto, raum_2).
- arbeiten_in([otto], raum_2 ).
 
- arbeitet_in(kraus, raum_3).
- arbeiten_in([kraus], raum_3 ).
 
- anschluesse_in([raum_2, raum_3]).
- anschluss_in(raum_2).
- anschluss_in(raum_3).
 
Rekursion in der Logischen Programmierung
Eine Prozedur heißt (direkt) rekursiv, wenn in mindestens einem der Klauselkörper ihrer Klauseln ein erneuter Aufruf des Kopfprädikates erfolgt.
Ist der Selbstaufruf die letzte Atomformel des Klauselkörpers der letzten Klausel dieser Prozedur - bzw. wird er es durch vorheriges „Abschneiden“ nachfolgender
Klauseln mit dem Prädikat !/0 - , so spricht man von Rechtsrekursion ; anderenfalls von Linksrekursion.
Eine Prozedur heißt indirekt rekursiv, wenn bei der Abarbeitung ihres Aufrufes ein erneuter Aufruf derselben Prozedur erfolgt.
Wissensverarbeitung mit Listen: (BSP5.PRO)
- erreichbar(K) :- arbeitet_in(K,R), anschluss_in(R).
- erreichbar(K) :- anschluesse_in(Rs), member(R, Rs), arbeiten_in(Ks, R), member(K, Ks).
 
- koennen_daten_austauschen(K1,K2) :- arbeitet_in(K1,R),arbeitet_in(K2,R).
- koennen_daten_austauschen(K1,K2) :- arbeiten_in(Ks,_),member(K1,Ks), member(K2,Ks).
 
- koennen_daten_austauschen(K1,K2) :- erreichbar(K1),erreichbar(K2).
- koennen_daten_austauschen(K1,K2) :- erreichbar(K1),erreichbar(K2).
 
BSP5.PRO
domains
  person, raum = symbol
  raeume = raum*
  personen = person*
predicates
  arbeiten_in(personen, raum)
  anschluesse_in(raeume)
  erreichbar(person)
  koennen_daten_austauschen(person,person)
  member(person,personen)
  member(raum,raeume)
clauses
  ... (siehe oben)
  member(E,[E|_]).
  member(E,[_|R]) :- member(E,R).
goal
  erreichbar(Wer).
Unifikation 2er Listen
- Zwei leere Listen sind (als identische Konstanten aufzufassen und daher) miteinander unifizierbar.
- Zwei nichtleere Listen [K_1|R_1]und[K_2|R_2]sind miteinander unifizierbar, wenn ihre Köpfe (K_1undK_2) und ihre Restlisten (R_1undR_2) jeweils miteinander unifizierbar sind.
- Eine Liste Lund eine VariableXsind miteinander unifizierbar, wenn die Variable selbst nicht in der Liste enthalten ist. Die VariableXwird bei erfolgreicher Unifikation mit der ListeLinstanziert:X:=L.

























