This website requires JavaScript.
Explore
Help
Register
Sign In
wieerwill
/
Informatik
Watch
1
Star
0
Fork
0
You've already forked Informatik
Code
Issues
Pull Requests
Actions
Packages
Projects
Releases
Wiki
Activity
fb09e1827d
Informatik
/
Assets
/
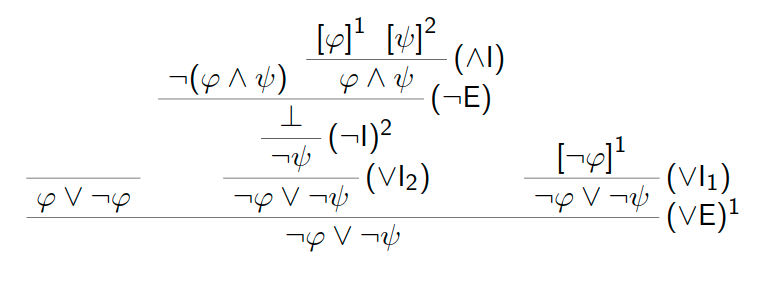
Logik-beispiel-4.png
Robert Jeutter
c20ceb3d19
Vorlesung 2
2021-04-29 17:11:43 +02:00
27 KiB
763x293px
Raw
History