This website requires JavaScript.
Explore
Help
Register
Sign In
wieerwill
/
Informatik
Watch
1
Star
0
Fork
0
You've already forked Informatik
Code
Issues
Pull Requests
Actions
Packages
Projects
Releases
Wiki
Activity
fab9c3ff25
Informatik
/
Assets
/
Logik-deduktion-beispiel-3.png
Robert Jeutter
df241a06de
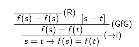
Vorlesung 8
2021-05-31 15:13:08 +02:00
15 KiB
476x160px
Raw
History