This website requires JavaScript.
Explore
Help
Register
Sign In
wieerwill
/
Informatik
Watch
1
Star
0
Fork
0
You've already forked Informatik
Code
Issues
Pull Requests
Actions
Packages
Projects
Releases
Wiki
Activity
de18866468
Informatik
/
Assets
/
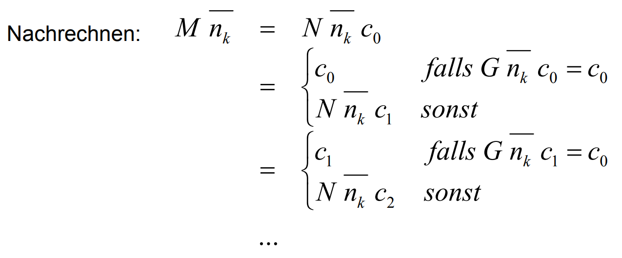
Programmierparadigmen-kodierung-natürlicher-zahlen.png
Robert Jeutter
0dbe1b6287
Bilder hinzugefügt
2021-04-09 11:33:27 +02:00
61 KiB
1275x529px
Raw
History