This website requires JavaScript.
Explore
Help
Register
Sign In
wieerwill
/
Informatik
Watch
1
Star
0
Fork
0
You've already forked Informatik
Code
Issues
Pull Requests
Actions
Packages
Projects
Releases
Wiki
Activity
45be86a84b
Informatik
/
Assets
/
AdvancedOperatingSystems-echtzeit-scheduling-rm-statisch.png
wieerwill
75496bb893
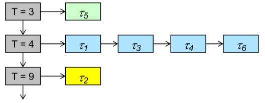
Kapitel Echtzeitfähigkeit
2022-01-10 15:19:17 +01:00
11 KiB
528x207px
Raw
History